网站首页  词典首页


请输入您要查询的字词:

 

字词 供给纸张实际总耗热量Q′的计算
类别 中英文字词句释义及详细解析
释义 供给纸张实际总耗热量Q′的计算

式中符号含义及单位均见下

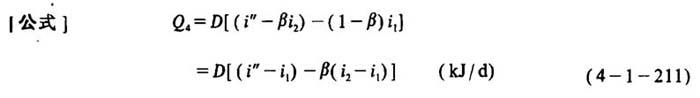
1.供给纸页烘干至规定干度用热量Q4

❶ 当冷凝水不回收时

式中 D——实际总耗汽量(kg/d)

i″——蒸汽的比能(kJ/kg)

i1——环境温度下凝结水的比能(kJ/kg)

❷ 当冷凝水回收时

式中 i2——冷凝水比能(kJ/kg),其值为冷凝水温度与比热容的乘积

β——冷凝水回收率(%)

其它同上

2.供给纸机生产其它用热量(网部喷雾、压榨部冲毛毯、烘干部热风等)Q5

[说明]如有流量计测试,则Q5的计算方法与Q4相同;无流量计测试,则用实测方法计算。

随便看

 

离鸟网收录3541549条中英文词条,其功能与新华字典、现代汉语词典、牛津高阶英汉词典等各类中英文词典类似,基本涵盖了全部常用中英文字词句的读音、释义及用法,是语言学习和写作的有利工具。

 

Copyright © 2004-2024 vtrois.com All Rights Reserved
更新时间:2026/4/18 18:00:19