网站首页  词典首页


请输入您要查询的字词:

 

字词 稻丰散
类别 中英文字词句释义及详细解析
释义

稻丰散phenthoate

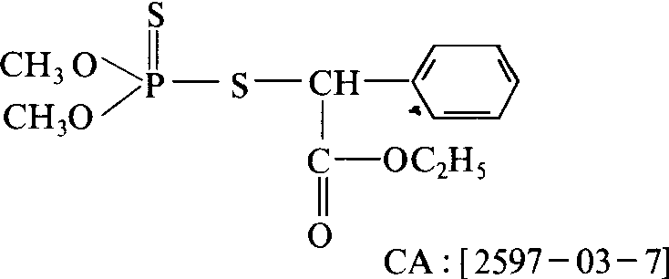
低毒速效触杀型二硫代磷酸酯类杀虫杀螨剂。化学结构式:

1961年意大利蒙特卡蒂尼公司(S.P.A.Montecatini)首先开发。
性能 纯品为无色结晶固体,具有芳香气味,熔点17~18℃。在中性或酸性介质中稳定,在碱性介质中易分解。不溶于水,24℃时溶解度为11毫克/升易溶于多种有机溶剂。对高等动物较低毒,大白鼠急性口服LD50 440毫克/千克; 急性经皮LD50 2100毫克/千克。对鱼类毒性低,对蜜蜂有毒。对害虫以触杀为主,也有一定胃毒作用。速效性好,持效期短。
应用 稻丰散对多种咀嚼口器和刺吸口器害虫以及害螨有效。主要以药液喷雾或粉剂喷粉,用于水稻、棉花、果树、蔬菜、油料、茶树、桑树等作物,防治鳞翅目幼虫、叶蝉、飞虱、蚜虫、叶螨、潜叶蝇、蝽象、一些介壳虫、跳甲、二十八星瓢虫、蝗虫等。还可防治蚊子成虫、幼虫等卫生害虫。对一些品种的葡萄、桃、无花果有药害,能使一些红皮品种的苹果果实褪色。

稻丰散phenthoate

又称爱乐散,益尔散、Dimethen-thoate。中等毒性有机磷杀虫剂。化学名称:O,O-二甲基-S-(α-乙氧基羰基苄基)二硫代磷酸酯。化学结构式如下。纯品是无色结晶体,熔点:17~18℃,40℃时蒸气压5.3μPa,密度(d204)1.226,折光率(n20d)1.555。溶解度24℃水11 mg/L。原药(90%~92%)是一种红黄色油状液体,溶解度20℃水中为200 mg/L、乙烷为120 g/L、石油为100~ 170 g/L。急性口服LD50大鼠为200~400mg/kg、小鼠为350~400mg/kg、野鸡为218 mg/kg、鹌鹑为300 mg/kg。可防治稻飞虱、稻叶蝉、二化螟、三化螟、棉铃虫、各种蚜虫、菜青虫、小菜蛾、斜纹夜蛾、蓟马、各种果树蚜虫、介壳虫、食心虫等。

随便看

 

离鸟网收录3541549条中英文词条,其功能与新华字典、现代汉语词典、牛津高阶英汉词典等各类中英文词典类似,基本涵盖了全部常用中英文字词句的读音、释义及用法,是语言学习和写作的有利工具。

 

Copyright © 2004-2024 vtrois.com All Rights Reserved
更新时间:2026/4/18 15:56:55