网站首页  词典首页


请输入您要查询的字词:

 

字词 稳定核素在医学中的应用
类别 中英文字词句释义及详细解析
释义
稳定核素在医学中的应用

稳定核素在医学中的应用

稳定核素在生命科学中的应用已有很长的历史。早在三十年代末期及四十年代初期,稳定核素示踪方法就已应用于生物化学,取得了重要科研成果,在生物医学领域中引起了划时代的变化。例如Schoenheimer和Ritten-berg的经典名著《体内成分的动态平衡》,主要就是重氢及重氮示踪实验的产物。该书证明了崭新的代谢规律:体内一切成分,包括似乎是静止状态的骨、牙或堆积脂肪,都处于流动的、互相交换与不断更新的状态。实际上核素在生物医学中的应用是从稳定核素的应用开始的。但是,到四十年代中期,由于碘、硫、碳、氢等放射性核素相继开始供应,它们的价格低,探测容易,灵敏度高,因而取代了稳定核素,在生物医学示踪研究中发挥越来越大的作用。近十年来,由于稳定核素生产成本的降低及探测技术的提高等原因,它又重新引起人们的重视。
在某些方面,稳定核素优于放射性核素:
❶它不具有放射性,对于临床应用特别有利,尤其适用于儿童及处于生育年龄的妇女。实验证明,除氘以外,稳定核素一般都没有毒性; 氘也只在高浓度时才有毒性;
❷标记物的合成及处理都比较简单,不会衰变,不会发生辐射自分解,不需要采取防护措施,实验不受时间限制;
❸氮及氧等一些元素没有半衰期较长的放射性核素,因而在多数生物医学实验中它们的稳定核素是唯一适用的示踪元素;
❹在代谢研究中,有时需要知道某一分子内标记原子的位置; 这在稳定核素标记分子中可用质谱分析或核磁共振谱分析直接测出。而在放射性核素标记分子中常常只有通过复杂的化学降解及产物分离才有可能确定;
❺某些特殊设计的稳定核素示踪实验,以及稳定核素与放射性核素配合使用的双标记实验,有时能解决单独使用放射性核素所无法解决的问题;
❻有些新药,其每日剂量虽可较大,血浆中浓度却可能很低,如欲进行这类药物的动力学测量,用放射性标记药物就会因为所需剂量过大而产生危险的辐射损伤。用稳定核素标记药物,则可以用到与普通药物相同的剂量;
❼用质谱技术测定同位素比值(相当于比放射性)有时比放射性示踪实验更为方便,因为不需要另外建立化学定量的方法。
但是,目前稳定核素的应用尚不易大量推广,其临床应用也仍存在一定困难,主要是: 测量仪器还很昂贵;每次分析需时较长,每一仪器每天能测量的样品数很有限;样品的提纯分离及分析都需要特殊的技术训练。如果今后能够提供更多、更廉价的标记物,继续改进测量技术,并创造出更灵敏、更便宜的测量设备,稳定核素在医学中的应用将会迅速发展。
稳定核素在生物医学中有代表性的应用如下。
全身水量的测定 利用同位素稀释法的原理,给病人口服或注射一定量的重水,经过一段时间,标记的水扩散到全身后,从静脉取血,测定其氘浓度。从稀释的倍数就可以算出全身水量。
从全身水量的测定,还可间接估计体内脂肪含量。体内肌肉组织的含水量约为73.2%。对于男性,可从下列简单公式粗略估算体内脂肪总量:

胖人脂肪多,全身水量相对较少。肥胖女性的全身水量可低于体重的30%,而男运动员的总水量可占体重的72%。
呼气试验 其原理是: 具有代谢紊乱的病人,氧化某一特定的13C-代谢物,可能比正常人更慢或更快。代谢物氧化的结果,产生13CO2。呼气中13CO2的量可以反映体内酶氧化反应的速度及程度。这种试验方法简便,价格较低,既准确又非创伤性,尤其适用于儿童普查。
本方法可作为脂肪吸收障碍的灵敏试验,例如,给受检者口服12C-甘油三油酸酯(标记位在羧基),胃肠道吸收后,迅速转变为13CO2呼出。脂肪吸收不良时标记物主要从大肠排出,13CO2生成率下降,试验可在4小时内完成,是脂肪吸收障碍的灵敏试验。13C-半乳糖经口服后被氧化为13CO2的速度是肝功能异常的灵敏指标,可用于鉴别肝硬变与非硬变病人。肝硬变病人,口服标记半乳糖1小时内13CO2的平均生成率仅为正常值的1/3~1/2,而且呼气13CO2高峰的出现比正常人晚。
蛋白质更新 人全身蛋白质更新常用15N-氨基酸作为示踪物来测量。设I、S和C分别代表蛋白质进食量、体
内蛋白质合成量与分解量(均以每天每公斤毫克氮(N)为单位),d为15N每天摄入量,e为15N排出量,E为总N排出量。达到平衡状态时,N进入氨基酸代谢库的速度(Q)应等于离开该库的速度,亦即进食量与蛋白质分解量之和应等于蛋白质合成量与总N排出量之和:

Q=I+C=S+E



图1 蛋白质更新示踪动力学的双库模型


同时,氨基酸代谢库中的15N转变为标记尿素的速度(eμ)与15N总更新速度(此处以15N进食量代表,蛋白质分解出的15N忽略不计)的比值应与排出的总尿素N(Eμ)与氨基酸代谢库的更新速度的比值相等,或

eμ/d=Eμ/Q


以上二式中I、d、eμ、Eμ及E均可测出,从而可计算出Q及蛋白质更新率。用此技术可以测定新生儿、早产儿和不同年龄的蛋白质更新率,也可观察损伤、应激状态、药物或激素治疗等对全身蛋白质代谢的影响。
红细胞寿命 取一定量的病人血液,离心分出红细胞,加50Cr-铬酸钠在室温保温30分钟,用生理盐水洗涤细胞,再将标记细胞的盐水悬浮液经静脉注给病人。于一定时间间隔取血,血样用中子活化,并以Ge (Li)探头测定50Cr (n,γ)51Cr反应生成的51Cr γ线。从放射性消失曲线求出半减期。此法曾用于孕妇诊断溶血性贫血;也曾用于早产儿,通过比较周围血液与颅内血块的比放射性,确定颅内出血时间。
鉴定药物代谢产物 放射性探测仪器虽然也能灵敏地测出放射性标记的药物及其代谢产物,但是缺乏特异性,不能辨别样品中核素所存在的化学形式或分子结构。反之,用稳定核素标记的药物及其相应非标记药物的混合物进行示踪实验时,便可于气层-质谱仪中查到显而易见的同位素离子簇。所得到的彼此相差n质量单位的双峰是找出标记药物及其代谢产物的简易指标。此时,n决定于所用的标记: 如用18O作为16O的标记,则n为2;如标记药物含有4个氘原子,则n为4。
口服320μg (羧基-13C)-阿斯匹林后,从尿样品中即能分出此标记药物的数种代谢产物。随着技术的改进更提高了探测的灵敏度。如在气层分离之后燃烧每一代谢产物并测定其13CO2/12CO2比值,13C-阿斯匹林的剂量减到100ng以下,仍能从24小时尿样中测得该药的代谢产物。用稳定核素作为示踪原子,不但有助于追踪药物代谢途径,而且还能区分真正药物代谢产物与生物样品中存在的天然物质。心得安是α萘酚的衍生物。欲证明α萘酚是心得安的代谢产物并非容易,因为它是人尿的正常成分。但如在心得安的萘环用氘标记,就不难区分来自药物的和其他来源的α萘酚。用气层-质谱仪不必分离就可从分子质谱的转移中鉴定特异的代谢产物。而用放射性核素标记心得安则要求分离和提纯α萘酚。
定量分析的内标准 分析中的内标准,是用于校正某一化合物在实验过程中的损失。标准和被分析化合物之间化学结构和化学性质都必须十分近似。使用气层-质谱分析研究药物代谢或临床测定,仅仅质量的差别就足以鉴别标准与被分析化合物。因此,稳定核素标记的化合物可以认为是最理想的标准。定量的方法是从质谱中测定标记与非标记化合物的比值。实质上,这种测定是一种“稀释法”,即用加入标记化合物到样品的方法测定样品中相应非标记化合物的含量。已知量的标记标准一般是在进行气层-质谱分析前直接加到待分析的粗样品中。有时须在提取或转变成衍生物之前就加入标记标准。[2,2,3,4-2H4]胆固醇、[1,1,2,3,3-2H5]甘油三软脂酸酯或甘油三油酸酯、[15N2]尿素、[2H7]葡萄糖等都可用作气层-质谱分析相应代谢物的内标准。
代谢转变 喂给小鼠D-油酸后,动物体内脂肪的饱和脂肪酸部分含有大量D,说明饱和脂肪酸可从不饱和脂肪酸转变而来。
15N-丝氨酸喂给大鼠后,15N大量出现于大鼠体内乙醇胺中,说明丝氨酸可通过脱羧反应转变为乙醇胺。
生物合成 由于核磁共振技术的提高,天然丰度的碳都有可能测出。从13C、15N标记的前身所生物合成的分子内13C、15N的位置还可以直接


图2 血红蛋白中卟
啉的结构式


从核磁共振谱中测得,这比放射性核素示踪方便得多。例如用H215N13CH2COOH双标记甘氨酸进行整体动物示踪实验后,核磁共振谱指出,血红蛋白中卟啉内每个吡咯环的α碳及亚甲基桥上的碳原子都是来自甘氨酸的α碳,而所有的氮则是根源于甘氨酸的氨基氮。如果在核磁共振谱中选择一个峰,并对不同时间的样品测量该峰的面积。便可画出一条曲线,其斜率即为血红蛋白生成的速度。
增强药理作用 2-氟-D-[2-2H]丙氨酸和相应的非标记氨基酸一样,具有抗菌作用;但由于它在体内的代谢较慢,氘的替代实际上增强了药理效应。这是稳定核素应用的一个新领域,今后有可能取得显著的进展。
药物生物利用度的研究 对人或动物经过两种途径同时给药,其中一种途径采用稳定核素标记的药物,然后收集一系列血样或尿样,测定标记与非标记药物或其代谢产物的浓度,以比较两种给药途径的生物利用度。例如让一个人口服某种药物的同时,静脉注入该药的13C标记物。这种实验显然比先试一种途径,再于一、二周后另试第二途径的交叉给药实验为优。它不但只需要收集一批样品,而且也避免了由于不同时间所引起的药物在吸收、分布、代谢、排泄等方面的差异。但是,从前一段所述的现象看,最好勿用氘作为标记原子,或只用氘来标记药物中远离代谢中心的位置。
中子散射 这是测定生物物质结构的优异的新技术。氘标记大大增强生物物质的散射密度,有助于散射成分的鉴定及提高测定的灵敏度。目前已开始用此技术测定氘化核蛋白体、氘化染色质、氘化细菌、视紫质以及各种生物膜的结构。
反应机制的探讨 将[D-甲基]-蛋氨酸喂大鼠后,动物体内分离出的胆碱、肌酸及肌酸酐都含有氘,说明胆碱等分子内的甲基均来自蛋氨酸。实验中采用14C及D双标记甲基的蛋氨酸时,又发现上述代谢产物中14C/D比值与蛋氨酸分子内该二核素的比值相等,亦即核素比值在代谢反应中保持不变。这一事实证明,在转甲基过程中,甲基是作为一个整体而转移的。后一个实验是成功地采用稳定核素与放射性核素双标记方法的一个例子。
同位素效应通常是不利于实验的,但有时也可成为有用的工具。例如甘油转变为肝糖原的过程,包括许多步反应,需要多种酶参加,如下式所示:

其中第三步是由磷酸丙糖异构酶(E)催化的,并且需要打开一个C—H键。因此,假如*H被重氢(D)所替代,将出现同位素效应,因为C—D键的断裂一般较C—H键为慢。在整体动物内,上述反应中哪一个是决定速度的(即最慢的)可通过下面办法解决。一组实验动物喂以*H处以D标记的14C-甘油,另一组则喂以不含D的14C-甘油,测定各组生成14C-糖原的速度。实验发现,糖原的生成在两组之间的确有差别,即14C-D-甘油组比14C-H-甘油组要慢得多。这种同位素效应的存在,产生了一个明确的结论: 决定速度的阶段发生于E酶催化的C—H键断裂这一步反应。


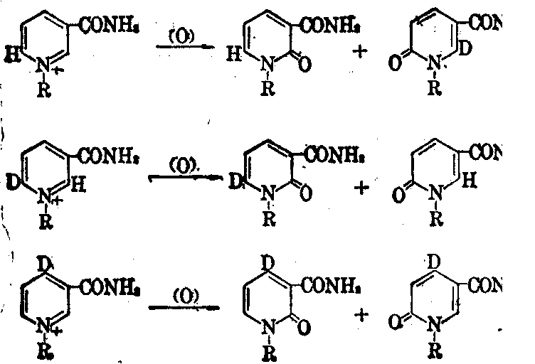
过去曾经长期认为,辅酶I(DPN)加氢还原时氢原子是加到分子内吡啶环上的第二位和第六位。后来,采用了D标记的DPN,证明了第四位才真正是还原加氢的位置。证明方法之一是: 将含氘的还原型辅酶I(DPND)在酵母醇脱氢酶作用下,氧化成含氘的氧化型辅酶I,然后再将后者用化学氧化剂转变为2-及6-吡啶酮。假如氘是在第二位或第六位,2-吡啶酮和6-吡啶酮中,只有一种含氘。但是,假如氘是在第四位,则两种吡啶酮会含等量的氘,如下图所示:

实验结果与最后一个反应式相符。因此氘在第四位是唯一可能的结论。
☚ 稳定核素标记物的制备   生物物理学 ☛
00018747
随便看

 

离鸟网收录3541549条中英文词条,其功能与新华字典、现代汉语词典、牛津高阶英汉词典等各类中英文词典类似,基本涵盖了全部常用中英文字词句的读音、释义及用法,是语言学习和写作的有利工具。

 

Copyright © 2004-2024 vtrois.com All Rights Reserved
更新时间:2026/4/18 19:28:27