网站首页  词典首页


请输入您要查询的字词:

 

字词 社会无差异曲线
类别 中英文字词句释义及详细解析
释义

社会无差异曲线Community Indifference Curves

该术语最初是由西托夫斯基 (Scitovsky,1942) 提出来的。通过引入社会无差异曲线,就可以找到对总和商品的社会偏好序,以此来反映行为者的共同的个人偏好,从而极大地简化经济模型中的比较静态分析和社会福利分析。社会无差异曲线是如下定义的: 假设存在m种商品和n个行为者。设x代表商品向量 (x是m X 1的非负的向量)。以Ui代表第i个行为者的效用函数,假定Ui是单调递增的拟凹函数。给定效用数值的一个向量u′=(u1′…un′),则在该效用值上的社会无差异曲线CIC (U’)就可以被定义为满足如下条件的商品向量x的集合: 存在一个商品向量的分布 (x1,…,xn),该分布满足Xi=x并且ui(xi) =ui′ ∀i=1, …n, 并且任何满足x′≤xx′≠x的商品向量x′都不满足上述性质。萨缪尔森指出,社会无差异曲线可以被解释为效用可能性边界的对偶。对于一个给定的商品向量x,用U (x) 代表商品向量x的效用可能性边界,则有

C/C (u′)={x:u′∈U(x)}和U(x)={u′:x∈CIC (u′)}o

社会无差异曲线一般具有如下基本性质: (1) 通常社会无差异曲线都类似于一个单调拟凹函数的无差异曲线。即其上等值集是一个凸集。(2) 社会无差异曲线是一个序数的概念,认为效用是无法度量和不可比的,但是是有序的。即对同一组商品向量,不管选择何种效用函数,赋予该向量多大的效用值,在社会无差异曲线上都是没有差别的。在这个意义上,社会无差异曲线不依赖于对个体的效用函数的选择。(3)如果效用函数是可微的,则在一条社会无差异曲线上的任意两种商品的边际替代率都等于所有行为者的相等的边际替代率,这是帕累托最优配置的标准条件。
社会无差异曲线

社会无差异曲线Social Indifference Curve

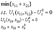
在社会偏好和所有社会成员个人偏好既定的条件下,使社会成员获得特定福利水平的各种消费束的轨迹。与私人无差异曲线类似,其实质是将社会福利函数变换为商品空间中的偏好次序。获得的方法是首先构造西托夫斯基等值线 (Scitovsky Contour) 族,其包络线即社会无差异曲线,或称伯格森等值线 (Bergson Contour)。推导过程如下: 首先假定社会中每个成员享有特定的效用水平,并除了一种商品外其他商品的产量水平也是特定的,然后确定为了满足上述规定,余下的这种商品的最小数量是多少。对于两个人、两种商品的经济,这一问题的数学表述是:

在U1~0和U20确定的条件下,对于x20每个可能值,都能够确定一个相异的x10(=x11+x21)的最优值,所有的(x10,x20)点的轨迹构成一条西托夫斯基等值线。如果私人的无差异曲线是凸的,那么西托夫斯基等值线也是凸的。给定社会福利函数W= W(U1,U2),对于保持特定社会福利W0的一切效用组合(U1,U2),确定出一族西托夫斯基等值线。对于任意给定的x2,选择一条等值线,使x1达到最小,这样所有的(x1,x2)点的轨迹就是西托夫斯基等值线的包络线。当社会福利W0连续变动时就形成社会无差异曲线族(如图所示)。


〖参〗社会福利函数
☚ 社会转换曲线   效用可能性边界 ☛
社会无差异曲线

社会无差异曲线community indifferance curves,CIC

国际贸易理论的重要几何分析工具之一。它是一条反映出一国所有消费者的偏好的曲线。在这条曲线上,尽管消费的产品组合各异,但都给这个国家带来了相同的福利水平。它和个人无差异曲线具有完全相同的性质,只不过这是对于作为一个整体的国家而言的无差异曲线而已。


图中A点与B点的X、Y两产品的消费数量组合不一样,但它们给全社会(全国)带来的效用水平却是一样的,都是CIC0。离原点越远的CIC代表着越高的社会福利水平。在国际贸易理论中,社会无差异曲线用来代表消费偏好和福利,因而它与代表生产面的生产可能性曲线(PPF)一起决定了一国的自给自足均衡。而贸易后的福利增进即所谓“贸易得益”也正是通过一国在贸易后能达到更高一条社会无差异曲线而体现出来。
☚ 生产可能性边界   贸易三角 ☛
00001951
随便看

 

离鸟网收录3541549条中英文词条,其功能与新华字典、现代汉语词典、牛津高阶英汉词典等各类中英文词典类似,基本涵盖了全部常用中英文字词句的读音、释义及用法,是语言学习和写作的有利工具。

 

Copyright © 2004-2024 vtrois.com All Rights Reserved
更新时间:2026/4/18 16:39:58