网站首页  词典首页


请输入您要查询的字词:

 

字词 位移有限单元法基本原理
类别 中英文字词句释义及详细解析
释义 位移有限单元法基本原理

线弹性结构小变形位移有限单元法的理论基础.是弹性理论和最小势能原理(或虚功原理)。

最小势能原理:在满足给定位移边界条件的所有位移中,只有满足平衡方程和面力边界条件的位移,可使弹性体的总势能π取极小值。

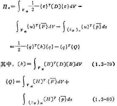
π=U-W (1.3-75)

式中 弹性体应变势能

❷ 在各个单元内,通过插值方法,将位移矢量{u}用1单元节点位移矢量{q}近似表示,即

{u}=〔H〕{q} (1.3-77)

其中,〔H〕是插值函数矩阵。

再根据应变位移关系,得到应变矢量{ε}与单元节点位移矢量{q}的关系

{ε}=〔L〕{u}=〔L〕〔H〕{q}=〔B〕{q}

(1.3-78)

其中,〔L〕为弹性理论的应变位移关系式中微分算符矩阵,〔B〕=〔L〕〔H〕为应变矩阵。

❸ 计算单元势能пe,求单刚矩阵〔k〕和单载矢量{Q}:

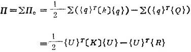
❹ 计算弹性体总势能Π:

组集单刚矩阵和单载矢量成总刚矩阵〔K〕和总载矢量{R},其中{U}是总体节点位移矢量。

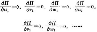
❺ 根据弹性体总势能Π的极值条件,得到总体刚度方程组。

弹性体总势能Π是各个节点位移分量u1、v1、ω1、u2、v2、ω2、……的多元函数,其极值条件是:

用矩阵形式表示为:

〔K〕{U}-{R}=0或〔K〕{U}={R}

(1.3-81)

❻ 根据给定位移边界条件修正总体刚度方程〔K〕{U}={R},求解得到总体节点位移矢量{U}。

❼ 由已知单元节点位移矢量{q},求单元应力:

{σ}=〔D〕{ε}=〔D〕〔B〕{q}=〔S〕{q}

(1.3-82)

其中 〔S〕=〔D〕〔B〕是应力矩阵。

如果用虚功原理来推导有限元方程,结果相同,仅上述第❸ 、❹ 、❺ 步略有不同,即

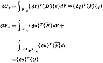
第❸ 步计算单元虚应变能dUe和虚功δVe。得到单刚矩阵〔k〕和单载矢量{Q}

第❹ 步计算弹性体总虚应变能dU和总虚功δW,组集成总刚矩阵〔K〕和总载矢量{R}

δU=∑(δU)=∑({δq}T〔k〕{δq})={δU}T〔K〕{U}

dW=∑(δWe)=∑({δq}T{Q})={δU}T{R}

第❺ 步由虚功方程δU=dW,得总体刚度方程组

{dU}T〔K〕{U}={δU}T{R}

由于总体虚位移矢量{δU}是任意的非零矢量,上式可写成:

〔K〕{U}={R}

随便看

 

离鸟网收录3541549条中英文词条,其功能与新华字典、现代汉语词典、牛津高阶英汉词典等各类中英文词典类似,基本涵盖了全部常用中英文字词句的读音、释义及用法,是语言学习和写作的有利工具。

 

Copyright © 2004-2024 vtrois.com All Rights Reserved
更新时间:2026/4/19 1:51:21