网站首页  词典首页


请输入您要查询的字词:

 

字词 估计标准误差
类别 中英文字词句释义及详细解析
释义 估计标准误差

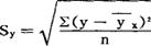
根据关系方程式求出的修匀值yx与观察值y之间的平均离差,其计算公式为:

式中:Sy表示标准误差;y表示因变量y的观察值;表示因变量y的修匀值;n表示观察单位数。

若Sy愈小,则根据关系方程预报y的值就愈精确。因此,可以把Sy作为估计关系方程精确度的标志。

随便看

 

离鸟网收录3541549条中英文词条,其功能与新华字典、现代汉语词典、牛津高阶英汉词典等各类中英文词典类似,基本涵盖了全部常用中英文字词句的读音、释义及用法,是语言学习和写作的有利工具。

 

Copyright © 2004-2024 vtrois.com All Rights Reserved
更新时间:2026/4/18 15:17:59