网站首页  词典首页


请输入您要查询的字词:

 

字词 直线相关与回归的关系
类别 中英文字词句释义及详细解析
释义
直线相关与回归的关系

直线相关与回归的关系

直线相关与回归是研究两变量间直线关系的两种统计方法。直线相关用相关系数r说明直线关系的方向和密切程度; 而直线回归用直线回归方程描述两变量变化的数量关系,其中回归系数b,说明X每变动一个单位,Y平均变动的单位数。直线相关与回归虽有区别,但又互相联系。区别
(1)在资料要求上,相关要求两变量X、Y都是随机变量,如正常人的血清胆固醇和动脉壁胆固醇含量,两者都不能预先指定;回归要求Y是随机变量,而X可以是随机变量,亦可以是一般变量,即可以指定,如毒理实验中,选定某毒物的几个浓度,测定各浓度对数与死亡率的概率单位的关系。
(2)在意义上,相关反映相互关系; 回归反映依存关系。
(3) 在应用上,说明变量间的相关程度用相关;说明两现象间变化的数量关系用回归。
联系
(1) 同一资料的r、b正负号相同。如r为正,说明X增大(或减小),Y亦增大(或减小); b为正,说明X增加(或减少)一个单位,Y平均增加(或减少)b个单位。
(2) r的假设检验(检验假设H0为总体相关系数ρ=0)与b的假设检验(检验假设为总体回归系数β=0) 均用t检验,统计量t值的计算公式不同,但同一资料的数值相等,即tr=tb,故结论相同,因而可用r的假设检验(直接查表)代替b的假设检验,较为简便。
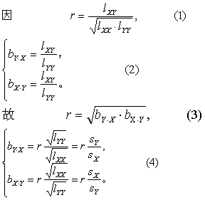
(3) r与b可以相互转换。

式中lXX、lYY分别为变量X、Y的离均差平方和,lXY为变量X、Y的离均差积和,bY.X为由X推Y的回归方程之回归系数,bX.Y为由Y推X的回归方程之回归系

秩 次Y的累计
X
1
2
3
4.5
4.5
6
Y
1
2.5
2.5
4
5
6
秩次个数
5
3
3
1
1
0
Y的第一个秩次是1,其下有5个比它大,故秩次个数为5; Y的第二个秩次为2.5,下面有3个比它大,故秩次个数为3;Y的第四个秩次为4,与它对应的X秩次是4.5,它下面的一个秩次也是4.5,所以第4个秩次个数记为1而不是2。这样处理的依据是,当分析X与Y的相关时,X变Y不变或X不变Y变,均属无相关。
(3) 按式(3)计算rK值。


式中n为样本含量。
对rk进行ρX= 0的假设检验,只需将算得的rX按n查表2(rK界值表)得P值,再按所取检验水准作出推断结论。
rK的校正: 当相同秩次较多时,可用下式计算校正等级相关系数r′K


例2 试对例1资料用Kendall等级相关系数作分析。

表4 rK计算表

公社编号
(1)
秩 次Y的累计
秩次个数
(4)
黄曲霉毒素相
对含量,X
(2)
肝癌死亡率
(1/10万),Y
(3)
4
2
3
1
5
6
7
8
9
10
1
2
3
4
5
6
7
8
9
10
3
2
1
7
4
9
6
5
10
8
7
7
7
3
5
1
2
2
0
0
34
(S)

H0: ρX=0,
H1: ρK≠0。
a=0.05。
将X的秩次按自然数排列并计算Y的累计秩次个数见表4第(4)栏。


按n=10查表2,得0.05>P>0.01,按a=0.05水准拒绝H0,结论同例1。
☚ 等级相关   直线相关与回归的关系 ☛

直线相关与回归的关系

直线相关与回归的关系

直线相关与回归是研究两变量间直线关系的两种统计方法。直线相关用相关系数r说明直线关系的方向和密切程度; 而直线回归用直线回归方程描述两变量变化的数量关系,其中回归系数b,说明X每变动一个单位,Y平均变动的单位数。直线相关与回归虽有区别,但又互相联系。区别
(1)在资料要求上,相关要求两变量X、Y都是随机变量,如正常人的血清胆固醇和动脉壁胆固醇含量,两者都不能预先指定;回归要求Y是随机变量,而X可以是随机变量,亦可以是一般变量,即可以指定,如毒理实验中,选定某毒物的几个浓度,测定各浓度对数与死亡率的概率单位的关系。
(2)在意义上,相关反映相互关系; 回归反映依存关系。
(3)在应用上,说明变量间的相关程度用相关;说明两现象间变化的数量关系用回归。
联系
(1) 同一资料的r、b正负号相同。如r为正,说明X增大(或减小),Y亦增大(或减小); b为正,说明X增加(或减少)一个单位,Y平均增加(或减少)b个单位。
(2) r的假设检验 (检验假设H0为总体相关系数ρ=0)与b的假设检验(检验假设为总体回归系数β=0)均用t检验,统计量t值的计算公式不同,但同一资料的数值相等,即tr=t0,故结论相同,因而可用r的假设检验(直接查表)代替b的假设检验,较为简便。
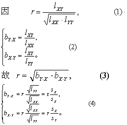
(3) r与b可以相互转换。


式中lXX、lYY分别为变量X、Y的离均差平方和,lXY为变量X、Y的离均差积和,bY、X为由X推Y的回归方程之回归系数,bX.Y为由Y推X的回归方程之回归系数,sX、sY分别为变量X、Y的标准差。
(4)相关与回归可相互解释。由式(1)并参见条目“直线回归”式(4)得


故 SS=r2SS,(6)
又 SS总=SS回+SS剩。(7)
从式(5)~(7)可见:
❶式(5)中r2是相关系数的平方,又称决定系数,即采用回归后Y方面减少的平方和SS与总平方和SS的比值。结合式(7)可知,r2≤1,故|r|≤1。一个资料,其SS是固定的,相关愈密切则r2愈大,由式(6)可见SS也就愈大,表示回归效果愈好。
❷再由式(7)可见,SS大,误差SS就小。因此医学研究中常引入回归来减小误差。如体重变异较大,而身高与体重关系密切,引入由身高推算体重的回归方程,得各身高的体重,变异就大为减小。
❸有时,两变量间经假设检验有相关,但相关系数较小,这时虽引入回归,但由于减少的误差太小,所以无实际意义。如n=100,r=0.2,引入回归后,
SS=(0.2)2SS=0.04SS
减少的误差仅为SS总的4%,因此实际意义不大。
☚ 直线相关与回归的关系   曲线拟合 ☛
00013261
随便看

 

离鸟网收录3541549条中英文词条,其功能与新华字典、现代汉语词典、牛津高阶英汉词典等各类中英文词典类似,基本涵盖了全部常用中英文字词句的读音、释义及用法,是语言学习和写作的有利工具。

 

Copyright © 2004-2024 vtrois.com All Rights Reserved
更新时间:2026/4/17 22:21:34