网站首页  词典首页


请输入您要查询的字词:

 

字词 直线相关
类别 中英文字词句释义及详细解析
释义

直线相关linear correlation

指两种现象或事物的数量变化有着相随变化的关系,而这种关系符合直线关系,但不等于两者有绝对直线关系。如一种现象或事物的数量(y),伴随着另一种现象或事物(x)的增加而增加,或减少而减少,在直角坐标系中描绘的散点呈现出直线趋势。

直线相关

亦称 “线性相关”。在简单相关 (即两个变量如y和x) 场合,其散点图似聚于一条直线周围的相关关系。进一步对其进行回归分析时,拟用回归直线:

来代表y与x之间的相关关系。
测定简单线性相关的密切程度的统计量,是简单相关系数。在回归分析中,简单相关系数的平方就是回归总变差占被解释总变差的比率。在多元线性回归场合,则是用复相关系数对其中的线性相关程度进行研究。
直线相关

直线相关straight line correlation

亦称“线性相关”。在简单相关(即两个变量如y和x)场合,其散点图似聚于一条直线周围的相关关系。进一步对其进行回归分析时,拟用回归直线:
y=a+bx+ε
来代表y与x之间的相关关系。
测定简单线性相关的密切程度的统计量,是简单相关系数。在回归分析中,简单相关系数的平方就是回归总变差占被解释总变差的比率。在多元线性回归场合,则是用复相关系数对其中的线性相关程度进行研究。

☚ 偏相关   线性相关 ☛
直线相关

直线相关

当一个变量X由小到大,另一个变量Y亦相应地由小到大(或由大到小),两变量的散点图呈直线趋势,那么这两个变量间有直线关系。如图1中的散点呈直线趋势,说明健康儿童的发硒值和血硒值间有直线关系,发硒高,血硒也高,发硒低,血硒亦低。这种直线关系,或分析这种直线关系的理论和方法,统称直线相关。两变量间直线相关的性质和密切程度,用直线相关系数来描述。
直线相关系数 亦称积差相关系数或积矩相关系数,简称相关系数,创用于F. Y.Edgeworth (1892),符号为r。r的值在-1到+1之间,没有单位。相关性质与r值的关系见图2。当X由小到大,同时Y也相应地由小到大,则r值为正,称正相关;当X由小到大,同时Y由大到小,则r值为负,称负相关;若X、Y间呈完全确定的函数关系,各点都在直线上,则r=1或r=-1,称完全相关;若X由小到大,Y的大小无一定规律,这时r≐0,称零相关。由于影响因素众多,生物界各现象间很少完全相关,相关系数多在-1与1之间。当例数相等时,相关系数的绝对值愈接近1,相关愈密切;愈接近于0,相关愈不密切。
相关系数的计算步骤如下:
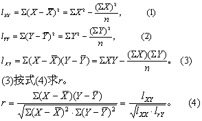
(1)列出一对对数据如表2第(1)、(2)栏,并绘散点图,若散点图呈直线趋势,分别求出X、Y的和 ΣX、∑Y,平方和ΣX2、∑Y2及积和ΣXY。
(2)按式(1)至式(3) 计算离均差平方和及离均差积


图1 某地10名儿童发硒和血硒含量的散点图


图2 相关系数示意

和,式中n为样本含量。


相关系数的假设检验 根据样本计算出来的相关系数r,是总体相关系数ρ的估计值。从ρ=0(无直线相关)的总体中抽出的样本,其r不一定为0。因此,得到r后必须检验r是否来自ρ=0的总体,以判定两变量间是否存在直线相关关系。常用t检验,其步骤如下:
❶作检验假设H0为ρ=0。

❷ 求统计量t值。


式中分母为相关系数的标准误sr。

❸查t界值表得P值,按所取检验水准作出推断结论。若不拒绝H0可认为无相关; 若拒绝H0则认为有相关。
为简化计算,统计工作者根据上述原理编制了相关系数界值表(表1)。当求得r值后,即可直接查表1得P值。

表1 相关系数r界值表

vP(1):0.05
P(2): 0.10
0.025
0.05
0.01
0.02
0.005
0.01
1
2
3
4
5
0.988
0.900
0.805
0.729
0.669
0.997
0.950
0.878
0.811
0.754
1.000
0.980
0.934
0.882
0.833
1.000
0.990
0.959
0.917
0.876
6
7
8
9
10
0.621
0.582
0.549
0.521
0.497
0.707
0.666
0.632
0.602
0.576
0.789
0.750
0.715
0.685
0.658
0.834
0.798
0.765
0.735
0.708
11
12
13
14
15
0.476
0.457
0.441
0.426
0.412
0.553
0.532
0.514
0.497
0.482
0.634
0.612
0.592
0.574
0.558
0.684
0.661
0.641
0.623
0.606
16
17
18
19
20
0.400
0.389
0.378
0.369
0.360
0.468
0.456
0.444
0.433
0.423
0.543
0.529
0.516
0.503
0.492
0.590
0.575
0.561
0.549
0.537
25
30
35
40
45
0.323
0.296
0.275
0.257
0.243
0.381
0.349
0.325
0.304
0.288
0.445
0.409
0.381
0.358
0.338
0.487
0.449
0.418
0.393
0.372
50
60
70
80
90
0.231
0.211
0.195
0.183
0.173
0.273
0.250
0.232
0.217
0.205
0.322
0.295
0.274
0.257
0.242
0.354
0.325
0.302
0.283
0.267
1000.1640.1950.2300.254

本表由式(5)与t界值表(详表)算得。
作直线相关分析时应注意以下几点:
(1) 积差相关系数只适用于双变量正态分布资料(见条目“双变量正态分布”),否则应通过变量变换(见条目“变量变换”)使之正态化,然后根据变换值计算相关系数,或计算等级相关系数(见“等级相关”)。
(2)不能只根据相关系数绝对值的大小来判断相关的密切程度。例如有两个样本相关系数: r1=0.601,v1=6;r2=0.401,v2=40。不能根据r1>r2就说r1比r2相关更密切。因为查表1,前一样本得P>0.05,后一样本P<0.01,若按同一检验水准0.05,则前者可认为无相关而后者有相关,可见正确推断有无相关必须经过假设检验。
(3) 相关可以是因果关系,也可以只是伴随关系。相关显著只说明两现象的数量间存在直线关系,但不能证明事物间有内在联系。当事物间的内在联系尚未被认识前,相关分析能从数量上给理论研究提供线索。
例 某地区10名健康儿童头发与全血中的硒含量(1000ppm)见表2第(1)、(2)栏,问发硒与血硒间有无直线相关?
H0: ρ=0,
H1: ρ≠0。
α=0.05。
根据表2初步计算结果,按式(1)~(4)计算相关系数:


表2 相关系数计算表

发硒X
(1)
血硒Y
(2)
X2
(3)
Y2
(4)
XY
(5)
74
66
88
69
91
73
66
96
58
73
13
10
13
11
16
9
7
14
5
10
5476
4356
7744
4761
8281
5329
4356
9216
3364
5329
169
100
169
121
256
81
49
196
25
100
962
660
1144
759
1456
657
462
1344
290
730
754
(∑X)
108
(∑Y)
58212
(∑X2)
1266
(∑Y2)
8464
(∑XY)


按式(5)作相关系数的t检验:


查t界值表得P<0.01,按α=0.05水准拒绝H0,接受H1,可认为该地健康儿童发硒与血硒间有正相关。
或以r=0.8715,v=8直接查相关系数界值表,仍得P<0.01,结论同前。
☚ 多个直线回归方程比较   两直线相关系数的比较与合并 ☛
00013256
随便看

 

离鸟网收录3541549条中英文词条,其功能与新华字典、现代汉语词典、牛津高阶英汉词典等各类中英文词典类似,基本涵盖了全部常用中英文字词句的读音、释义及用法,是语言学习和写作的有利工具。

 

Copyright © 2004-2024 vtrois.com All Rights Reserved
更新时间:2026/4/18 8:57:44