网站首页  词典首页


请输入您要查询的字词:

 

字词 直线回归
类别 中英文字词句释义及详细解析
释义

直线回归linear regression

指两种现象或事物的数量变化存在着互相依存的因果关系。由一种变量(自变量x)的变化,根据直线回归关系的函数方程,计算出另一种变量(因变量y)的变化,即由一种变量的实际值计算出另一种变量的估计值。

直线回归

直线回归

直线回归是处理两变量(其中至少有一个是随机变量)间线性依存关系的一种统计分析方法。如人的体重与体表面积之间存在着一定的关系,其散点图呈一直线趋势,(见图1)。根据各对观察值可求得一直线方程,以说明两变量间依存变化的数量关系。但图中各观察点并不完全在一直线上,与数学上完全确定的函数图象不同,这种直线方程具有某种不确定性,称为直线回归方程。
“回归”一词创用于F. Galton (1887),他从表达父子身高的一些直线方程中发现父高子亦高,但一群高(或矮)个子父亲的儿子们,平均身高却低(或高)于父亲们的平均身高,向男子身高的总体均数“回归”,于是后来将表示这类变量间关系的方程称回归方程。
用途:
❶两变量间存在直线关系时,求出直线方程来描述这种关系;
❷根据直线回归方程由已知(或易测)变量值,估计未知(或难测)变量值;
❸对总体回归直线作出估计,说明样本回归直线的可信程度;
❹估计正常值范围,如对不同体重者估计其体表面积的正常值范围;
❺为协方差分析的基础等。直线方程的通式为

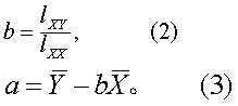
式中X为自变量, Ŷ为应变量Y的估计值亦称回归值。a为直线在Y轴上的截距,即X=0时的Ŷ值。 b为直线的斜率,称回归系数,表示X变动一个单位时,Ŷ平均变动的单位数。求直线方程就是计算方程中a和b的值,常用最小二乘法原理。
根据最小二乘法原理,式(1)中b和a可按式(2)和式(3)求得,此时估计误差平方和∑(Y-Ŷ)2最小。


式(2)中lXX为X的离均差平方和,lXY为离均差积和,算法如下:


lXX=∑(X-)2=∑X2-(∑X)2/n,
lXY=∑(X-)(Y-)=∑XY-(∑X)(∑Y)/n,


式中n为样本含量。
若要求直线过定点(X0,Y0),则


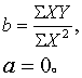
若要求直线过(0,0)点,则


当观察点的直线趋势很明显时,亦可用目测法等求直线回归方程。
用最小二乘法计算直线方程的步骤:
(1)将n对观察值在直角坐标纸上绘散点图,如果散点呈直线趋势,再进行下列步骤。
(2)计算∑X,∑X2,∑Y,∑XY。
(3) 求, ,lXX, lXY。
(4)按式(2)与式(3)求b、a得直线方程。
(5) 画直线。取相距较远的两X值,分别代入方程求出相应的Ŷ值,得两点坐标,过此两点的直线即回归直线。
例1 测得某地3岁儿童10人的体重与体表面积见表1,试求由体重推算体表面积的回归方程。

表1 某地三岁儿童10人的体重与体表面积

体 重, X
(kg)
体表面积,Y
(103cm2)
11.0
11.8
12.0
12.3
13.1
13.7
14.4
14.9
15.2
16.0
5.283
5.299
5.358
5.292
5.602
6.014
5.830
6.102
6.075
6.411


图1 某地3岁儿童体重推算体表面积的直线回归方程散点呈直线趋势(见图1)。

过点(11,5.145)与(15,6.099)作直线见图1。
直线回归方程的假设检验 亦即回归系数的假设检验。观察值Y1,Y2,…,Yn之间的变异由两方面的原因引起:自变量X的变化和其他因素如实验误差等的影响。为了检验哪方面的影响是主要的,先将Y变异的总离均差平方和SS(即lYY)分解为两部分(见图1示意):

<称为回归平方和。SS回/自由度为回归方面的均方,它是由X的变化所引起的,在直线回归中自由度为1。

称为剩余平方和。SS剩/自由度为剩余均方,表示观察点与直线的偏离(纵向距离),它是由实验误差以及其他未加控制的因素所引起的,自由度为n-2。
如果Y与X之间无直线关系,那么样本所来自的总体的回归均方与剩余均方应相等,或回归系数β=0;反之,β≠0。所以要检验Y与X之间是否有直线关系,可用F检验或t检验。检验假设H0为β=0,检验结果若不拒绝H0,不能认为X与Y之间有直线关系;若拒绝H0,则可认为有直线关系,只有这时才能求直线回归方程。检验步骤:
(1) 求∑X,∑Y,∑X2,∑Y2,∑XY;
(2) 求lXX,lYY,lXY;
(3)若用F检验,则按式(6)计算统计量F值。


式中SS回按式(4)计算,SS剩按式(5)计算,求得F值后,查F界值表得P值,按所取检验水准作出推断结论。
若用t检验,则按式(7)计算统计量t值。


式中b按式(2)计算:分母为回归系数的标准误sb,其中sY·X为剩余标准差,即剩余均方的平方根,按式(8)计算。

式中∑(Y-Ŷ)2由式(5)求得。 求得t值后,查t界值表得P值,按所取检验水准作出推断结论。
对同一资料,这两种检验所得的结论是一致的,因为在v1=1时,t
例2 对例1的直线回归方程(或回归系数)作假设检验。
H0: β=0,
H1: β≠0。
α=0.05。
由例1得∑X=134.40,∑Y=57.266,
∑X2=1831.24,∑Y2 = 329.4834,∑XY=775.5946;lXX=24.9040,lXY=5.9396。


(1) F检验。由式(4)~(6)


今v1=1,v2=10-2=8,查F界值表,得P<0.01。按α=0.05水准拒绝H0,接受H1,可认为两变量间有直线关系,可以求直线回归。
(2) t检验。前已求得SS剩=0.1273 ,b=0.2385,lxx=24.9040,代入式(8)及式(7):


v=10-2=8。查t界值表得P<0.01,按α=0.05水准拒绝H0,接受H1。结论同F检验。这里t=, 即9.435
作直线回归分析时应注意:
(1)两变量间的关系必须有实际意义。
(2)计算直线回归的两变量,若X为选定的,则对应于每个X值的Y值须服从正态分布,其Y即Y的均数;若X、Y都是随机变量,则要求X、Y服从双变量正态分布。否则须先经变量变换,使资料符合要求后再进行回归分析。
(3)用同一资料计算由X推算Y (b1=lXY/lXX,α1=-b1)和由Y推算X (b2=lXY/lYY, a2=-b2)的两个直线回归方程,结果不同。因此要正确选定自变量。若两变量间有因果关系,应以“因”为X;无因果关系,则以较易测定者或变异较小者为X,否则可能加大误差。
(4)观察值必须是同质的。如果有两个不同的子群,可能产生实际上不存在的回归[图2(a)],也可能忽视了确实存在的回归关系[图2(b)]。


(a) 误为有回归



(b) 回归被忽视


图2 存在两个子群对回归的影响


(5) 回归方程一般只适用于自变量X的原观察数据范围,而且实验条件也应与取得原观察数据时的实验条件一致。
(6)直线回归的数学模型为

Y=a*+βX+ε,

式中a*为总体回归直线在Y轴上的截距,β为总体回归系数,ε为观察点(X,Y)与直线的偏离(纵向距离),是由实验过程中一些随机因素造成的误差。应用最小二乘法的条件是假定误差ε独立,且各X值处ε的方差相等,若违反此假定则不适用:如(1)Y值在时间(或空间)上接近者比相距较远者更相似,即Y值存在自相关;或(2)散点(X,Y)呈扇形分布,即X增大时Y的方差亦增大。
☚ 升降趋势检验   总体回归直线的估计 ☛
00013252
随便看

 

离鸟网收录3541549条中英文词条,其功能与新华字典、现代汉语词典、牛津高阶英汉词典等各类中英文词典类似,基本涵盖了全部常用中英文字词句的读音、释义及用法,是语言学习和写作的有利工具。

 

Copyright © 2004-2024 vtrois.com All Rights Reserved
更新时间:2026/4/21 17:48:11