网站首页  词典首页


请输入您要查询的字词:

 

字词 直接消耗系数矩阵
类别 中英文字词句释义及详细解析
释义
直接消耗系数矩阵

直接消耗系数矩阵

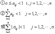
投入产出分析数学模型的基本形式之一。直接消耗系数表示第j个生产单位产品所需要的第i部门的投入量。直接消耗系数:

式中,Xij表示第i部门用于第j部门生产所消耗的数量,Xj为第j部门总产品。aij又称技术系数或投入系数,因为它反映了部门之间的技术条件与投入定额。aij具有以下性质:

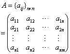
由直接消耗系数ari构成的矩阵A称为直接消耗系数矩阵,记为

☚ 直接消耗系数   相关分析 ☛
00000446
随便看

 

离鸟网收录3541549条中英文词条,其功能与新华字典、现代汉语词典、牛津高阶英汉词典等各类中英文词典类似,基本涵盖了全部常用中英文字词句的读音、释义及用法,是语言学习和写作的有利工具。

 

Copyright © 2004-2024 vtrois.com All Rights Reserved
更新时间:2026/4/21 18:50:08