网站首页  词典首页


请输入您要查询的字词:

 

字词 传递矩阵
类别 中英文字词句释义及详细解析
释义 传递矩阵

是一种用矩阵来描述多输入多输出的线性系统的输出与输入之间关系的手段和方法。

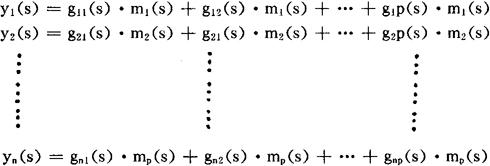
当系统有P个输入mi(i=1,2,…,p)和n个输出yj(j=1,2,…,n)时,则每个输出与P个输入拉氏变换间有如下关系。

用矩阵表示为:

式中

与输入M(s)之间的传递矩阵。

描述多输入多输出系统的传递矩阵,是传递函数的推广,因此,它被称为广义的传递函数。

随便看

 

离鸟网收录3541549条中英文词条,其功能与新华字典、现代汉语词典、牛津高阶英汉词典等各类中英文词典类似,基本涵盖了全部常用中英文字词句的读音、释义及用法,是语言学习和写作的有利工具。

 

Copyright © 2004-2024 vtrois.com All Rights Reserved
更新时间:2026/4/19 18:23:38