网站首页  词典首页


请输入您要查询的字词:

 

字词 传热过程的分析方法
类别 中英文字词句释义及详细解析
释义 传热过程的分析方法

传热过程既有平衡态又有非平衡态的问题,热量传递的三种基本方式是导热、对流及辐射,下面分别描述它们的分析方法。

(1)热传导。有导热介质,没有质量交换,但由于温度差引起的能量输运过程。

一维导热方程——付里叶(Fourier)公式

式中Qn是法线方向单位时间内的热流量,是垂直于面积A的方向上的温度变化率,称作“温度梯度”,K是导热系数(它与导热物质的材料有关),负号表示热量沿著温度降低方向流动。

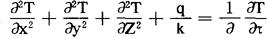
三维导热方程为

式中导温系数,(ρ为材料密度,Cv为定容比热容)q为单位时间单位面积内传递的热量。

(2)对流传热。有导热介质及质量交换的输运过程。

其数学分析较复杂,往往与流体力学的数学形式相联系,分别需要建立系统的质量守恒(流体连续方程),动量守恒(需要考虑粘滞性、压力以及体膨胀等问题)以及能量守恒(包括热传导)三种微分方程,然后由边界条件对三项守恒方程式求解。这里只介绍固体表面与环境流体间对流传热方程(又称牛顿冷却公式)为

Q=hA(Ts-T)

式中Q是单位时间由单位表面积传递到环境流体的热量,h是对流换热系数,(它是与系统几何条件、流体的物体及流动情况有关的量)A是表面积,Ts是表面温度,T是环境温度。

(3)辐射传热。

没有导热介质,是电磁波(波长范围在107~102米间)辐射。

由辐射中斯芯藩-玻尔兹曼定律指出黑体在任何温度T时辐射率为

e(T)=σT4

式中σ称为斯芯藩-玻尔兹曼常数,它是与物质无关的普适常数σ=5.67032×10-8瓦特·米-2,K-4,得到单位时间内辐射传递的热量为

Q=Aασ(Tw2-T2)

式中α为温度T时的吸收率(黑度),A为辐射体面积,Tw为接受辐射物体的温度。

随便看

 

离鸟网收录3541549条中英文词条,其功能与新华字典、现代汉语词典、牛津高阶英汉词典等各类中英文词典类似,基本涵盖了全部常用中英文字词句的读音、释义及用法,是语言学习和写作的有利工具。

 

Copyright © 2004-2024 vtrois.com All Rights Reserved
更新时间:2026/4/17 20:55:55