网站首页  词典首页


请输入您要查询的字词:

 

字词 百分数的logit变换
类别 中英文字词句释义及详细解析
释义
百分数的logit变换

百分数的logit变换

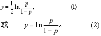
以百分数p代入式(1)或式(2)即可算得其logit函数值y,称logit变换。

为避免出现负值,郭祖超按式(3)编制了百分数由0.1%~99.9%的logit值表,摘录如表1。


logit变换主要用于S形或反S形曲线的直线化。

表1 百分数p与logit值对照表

p(%)0123456789
0 2.703.053.263.413.533.623.713.783.84
10
20
30
40
50
60
70
80
90
3.90
4.31
4.58
4.80
5.00
5.20
5.42
5.69
6.10
3.95
4.34
4.60
4.82
5.02
5.22
5.45
5.73
6.16
4.00
4.37
4.62
4.84
5.04
5.24
5.47
5.76
6.22
4.05
4.40
4.65
4.86
5.06
5.27
5.50
5.79
6.29
4.09
4.42
4.67
4.88
5.08
5.29
5.52
5.83
6.38
4.13
4.45
4.69
4.90
5.10
5.31
5.55
5.87
6.47
4.17
4.48
4.71
4.92
5.12
5.33
5.58
5.91
6.59
4.21
4.50
4.73
4.94
5.14
5.35
5.60
5.95
6.74
4.24
4.53
4.76
4.96
5.16
5.38
5.63
6.00
6.95
4.27
4.55
4.78
4.98
5.18
5.40
5.66
6.05
7.30

本表按式(3)算得。
S形曲线直线化的logit变换法: 当原数据X与p的散点图呈S形或反S形曲线趋势时,取p的logit变换值y,若X与y呈直线趋势,直线化即获成功;若尚未达到直线趋势,一般多呈指数曲线形,可用(X±K)取代X,再行直线化,K是尝试所得校正数。最后作曲线拟合。例 用家兔研究甲胎蛋白诊断肝癌。X为抗体血清稀释度的倒数,p为结合率,原数据见表2第(1)、(4)栏。欲求X推算p的回归方程,试用适当变换使观察点呈直线趋势。

表2 logit变换计算表


X 部 分y 部分
X
(1)
lgX
(2)
lg(X+800)
(3)
p(%)
(4)
y
(5)
20
160
320
640
1280
2560
5120
10240
20480
40960
81920
1.30
2.20
2.51
2.81
3.11
3.41
3.71
4.01
4.31
4.61
4.91
2.91
2.98
3.05
3.16
3.32
3.53
3.77
4.04
4.33
4.62
4.92
47
45
43
37
29
20
15
9
6
5
1
4.94
4.90
4.86
4.73
4.55
4.31
4.13
3.84
3.62
3.53
2.70

表2变量X为几何级数,宜取lgX,见第(2)栏,以第(2)、(4)栏数据作散点图,呈反S形曲线趋势,见图1。


图1 表2第(2)、(4)栏数据的散点图


按式(3)将p变换为logit值y,如p=47%时:

或查表1,左侧为“40”的行与上端为“7”的列交叉处即可得到。全部y值列于第(5)栏。用第(2)、(5)栏数据作散点图,略呈指数曲线趋势。经尝试,以lg(X+800)与y的观察点直线性较优。按第(3)、(5)栏数据作图,得图2上呈直线趋势的观察点。变换值可用于求由X推算p的回归方程。


lg(X+800)
图2 观察点的直线化(数据见表2第(3)、(5)栏)
S形曲线直线化的三种变换之比较: logit变换、概率单位变换和平方根反正弦变换,用于百分数资料S形曲线的直线化方面作用很相似,但强弱不等。图3是按相同


图3 logit变换、概率单位变换及反正弦变换的比较

的百分数p设计的,范围是1%~99%,分别用三种方法进行变换,以表示它们之间的差别。logit值的曲线弯曲度最大,表明作用最强,适用于S形曲线弯曲度较大的资料; 平方根反正弦值的曲线弯曲度最小,表明作用最弱,适用于S形曲线弯曲度较小的资料;概率单位值的曲线介于二者之间,表明作用居中。按设计,三条曲线有共同的起止点,而当p=50%时,它们都通过同一坐标点,表明三种变换的直线化作用在50%的两端是对称的。应用时,须根据资料的特点选择不同的变换。当所用方法的直线化效果不佳时,应分析其原因属作用“太弱”抑或“过强”,再改用适当方法。
☚ 百分数的概率单位变换   反双曲正切变换 ☛
00013179
随便看

 

离鸟网收录3541549条中英文词条,其功能与新华字典、现代汉语词典、牛津高阶英汉词典等各类中英文词典类似,基本涵盖了全部常用中英文字词句的读音、释义及用法,是语言学习和写作的有利工具。

 

Copyright © 2004-2024 vtrois.com All Rights Reserved
更新时间:2026/4/19 20:06:18