网站首页  词典首页


请输入您要查询的字词:

 

字词 众数
类别 中英文字词句释义及详细解析
释义 众数

总体各单位按某一标志数值的大小顺序排列后出现次数最多的数值,也就是总体中最普遍的标志值。

它是平均数的一种,常用来说明社会现象的一般水平。确定众数的方法,在单项数列中比较简单,就是出现次数最多的变量值。在组距数列中,要先确定众数所在组,然后计算出近似的众数值。其计算公式为:

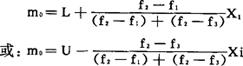
式中:m0为众数,L为众数组的下限,U为众数组的上限,(f2-f1)为众数组次数与前一组次数之差,(f2一f3)为众数组次数与后一组次数之差,i为组距。

众数适用于总体单位数较多,又有明显集中趋势的现象。例如,某地区职工家庭收入资料如下:

随便看

 

离鸟网收录3541549条中英文词条,其功能与新华字典、现代汉语词典、牛津高阶英汉词典等各类中英文词典类似,基本涵盖了全部常用中英文字词句的读音、释义及用法,是语言学习和写作的有利工具。

 

Copyright © 2004-2024 vtrois.com All Rights Reserved
更新时间:2026/4/20 4:54:55