网站首页  词典首页


请输入您要查询的字词:

 

字词 众数
类别 中英文字词句释义及详细解析
释义 众数

总体中出现次数最多的标志值,或在变量数列中出现次数最多的变量值。

例如,为了说明工业企业工人最普遍的工资,说明消费者需要的内衣、鞋袜、帽子最普遍的号码,说明集市某种商品的价格等,都可以应用众数。

确定众数的方法,需要根据所掌握的资料是单项数列还是组距数列而定。

1.根据单项数列确定众数时,次数出现最多的标志值就是众数。

例如,某地区汗衫销售量及其规格资料如下:

销售汗衫30万件中,90公分的销售量最大,即90公分的汗衫为众数。

2.在组距数列的条件下确定众数,应先确定次数最多的一组为众数组,再计算众数的近似值。计算众数近似值有下限和上限两种公式。

下限公式为:

上限公式为:

式中:

M0代表众数;

L代表众数组下限;

U代表众数组上限;

1代表众数组次数与下一组次数之差;

2代表众数组次数与上一组次数之差;

i代表众数组组距。

例如,某市职工家庭每人平均月收入额如下:

从表中看出,平均每人收入在40~50元的户数最多,这个组即为众数组。

根据表中资料:

L=40 U=50

1=1200-300=900

2=1200-200=1000

i=50-40=10

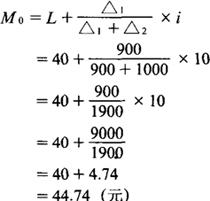
将上列资料代入公式,用下限公式计算:

用上限公式计算:

由上述计算可知,某市职工家庭每人平均月收入额的一般水平是44.74元,这个收入水平的职工户数最多。

众数的计算需要有一定条件,即单位数比较多,而且有明显的集中趋势。

如果单位数很少,或者单位数多,但无明显的集中趋势的资料,是无法计算众数的。

在中位数、众数和算术平均数三者的选用中,要从现象的实际内容出发,根据资料的特点和研究的目的来决定,常以算术平均数为主,只有在某些特殊的分析对象中,才可采用众数和中位数。

随便看

 

离鸟网收录3541549条中英文词条,其功能与新华字典、现代汉语词典、牛津高阶英汉词典等各类中英文词典类似,基本涵盖了全部常用中英文字词句的读音、释义及用法,是语言学习和写作的有利工具。

 

Copyright © 2004-2024 vtrois.com All Rights Reserved
更新时间:2026/4/19 19:45:10