网站首页  词典首页


请输入您要查询的字词:

 

字词 伊马昔尔
类别 中英文字词句释义及详细解析
释义 伊马昔尔

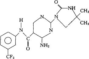
C17H17F3N6O2=394.36

CAS-75689-93-9

4-氨基-2-(4,4-二甲基-2-氧代-1-咪唑烷基)-α,α,α-三氟-5-嘧啶羧基-间-甲苯胺。

4-Amino-2-(4,4-dimethyl-2-oxo-1-imidazolidinyl)-α,α,α-trifluoro-5-pyrimidinecarboxy-m-toluidide.

4-氨基-2-(4,4-二甲基-2-氧代-1-咪唑烷基)-N-[3-(三氟甲基)苯基]-5-嘧啶羧甲酰胺。

4-Amino-2-(4,4-dimethyl-2-oxo-1-imidazolidinyl)-N[3-(Trifluoromethyl)phenyl]-5-pyrimidine carboxamide.

抗动脉粥样硬化药,抗凝血药。

Imanixil.

INN,USAN.

随便看

 

离鸟网收录3541549条中英文词条,其功能与新华字典、现代汉语词典、牛津高阶英汉词典等各类中英文词典类似,基本涵盖了全部常用中英文字词句的读音、释义及用法,是语言学习和写作的有利工具。

 

Copyright © 2004-2024 vtrois.com All Rights Reserved
更新时间:2026/4/19 12:25:29