网站首页  词典首页


请输入您要查询的字词:

 

字词 伊茚达酮
类别 中英文字词句释义及详细解析
释义 伊茚达酮

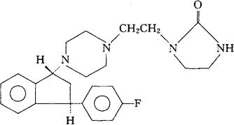
C24H29FN4O=408.52

CAS-96478-43-2

(+)-(1R,3S)-1-[2-[4-[3-(对-氟苯基)-1-二氢化茚基]-1-哌嗪基]乙基]-2-咪唑啉酮。

(+)-(1R2,3S)-1-[2-[4-[3-(p-Fluorophenyl)-1-indanyl]-1-piperazinyl]ethyl]-2-imidazolidinone.

1-[2-[4-[3-(4-氟苯基)-2,3-二氢-1H-茚-1-基-]-1-哌嗪基]-2-咪唑啉酮。

1-[2-[4-[3-(4-Fluorophenyl)-2,3-dihydro-1H-inden-1-yl]-1-piperazinyl]-2-imidazolidinone.

抗高血压药。

吲达酮。

Irindalone.

INN,USAN.

随便看

 

离鸟网收录3541549条中英文词条,其功能与新华字典、现代汉语词典、牛津高阶英汉词典等各类中英文词典类似,基本涵盖了全部常用中英文字词句的读音、释义及用法,是语言学习和写作的有利工具。

 

Copyright © 2004-2024 vtrois.com All Rights Reserved
更新时间:2026/4/18 8:46:35