网站首页  词典首页


请输入您要查询的字词:

 

字词 伊美克
类别 中英文字词句释义及详细解析
释义 伊美克

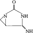
C4H5N3O=111.10

CAS-59643-91-3

4-亚氨基-1,3-二氮杂双环[3.1.0]己烷-2-酮。

4-Imino-1,3-diazabicyclo[]3.1.0]hexan-2-one.

免疫调节药。

Imexon.

INN,USAN.

随便看

 

离鸟网收录3541549条中英文词条,其功能与新华字典、现代汉语词典、牛津高阶英汉词典等各类中英文词典类似,基本涵盖了全部常用中英文字词句的读音、释义及用法,是语言学习和写作的有利工具。

 

Copyright © 2004-2024 vtrois.com All Rights Reserved
更新时间:2026/4/20 5:20:21