网站首页  词典首页


请输入您要查询的字词:

 

字词 伊犁飞燕草
类别 中英文字词句释义及详细解析
释义 伊犁飞燕草

【名称出处】:《新疆中草药》

【概况】:

异名 飞燕草(《新疆中草药》)。

基源 为毛茛科翠雀属植物伊犁翠雀花的全草。

原植物 伊犁翠雀花Delphinium iliense Huth.(Delphinium longicilia.tum W.T.Wang)

形态 茎高22~8cm,疏被白色硬毛,通常不分枝。叶片肾形或近五角形,长3~6.5cm,宽3.5~11cm,3深裂稍超过中部,中央深裂片菱形,3浅裂,有卵状疏锯齿,侧深裂片斜扇形,不等2裂近中部。总状花序狭,有5~12花;花梗无毛;小苞片生花梗上部距花3~5mm处;萼片蓝紫色,上萼片卵形,距圆筒状钻形,与萼片近等长或稍短;花瓣片宽卵形,2浅裂,爪比瓣片稍短;雄蕊无毛,心皮3,近无毛。

种子只沿棱有翅。花期7~8月。(图见《中国植物志》.第27卷.382页.图版89)

生境与分布 生于海拔2000m一带山地灌丛中或多石砾山坡上。分布于新疆西部。

原苏联中亚地区也有分布。。【化学】:

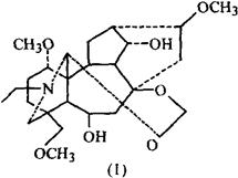
地上部份含翠雀考林啶碱(Delcoridine)(1)、翠雀考林碱(Delcorine)、去氢翠雀考林碱、牛扁次碱(Lycoctonine)、接骨灵(Eldeline)、棕灵碱(Browniine)、伊犁翠雀碱(Ilidine)等8种生物碱。

(1)

参考文献 Chem Nat Prod 1980;16(5):479

【药性】:

性味 全株:微苦,寒。

功效 清热燥湿,止痢。

主治 湿热痢疾。

随便看

 

离鸟网收录3541549条中英文词条,其功能与新华字典、现代汉语词典、牛津高阶英汉词典等各类中英文词典类似,基本涵盖了全部常用中英文字词句的读音、释义及用法,是语言学习和写作的有利工具。

 

Copyright © 2004-2024 vtrois.com All Rights Reserved
更新时间:2026/4/19 23:00:18