伊洛前列素
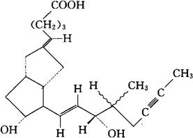
C22H32O4=360.49 CAS-73873-87-7 (E)(3aS,4R,5R,6aS)六氢-5-羟-4-[(E)-(3S,4RS)-3-羟-4-甲基-1-辛烯-6-炔基]△2(1H),8-并环戊二烯戊酸。 (E)-(3aS,4R,5R,6aS)Hexahydro-5-hydroxy-4-[(E)(3S,4RS)-3-hydroxy-4-methyl-1-octen-6-ynyl]-△2(1Hpentalenevaleric acid. 5-[六氢-5-羟-4-(3-羟-4-甲基-1-辛烯-6-炔基)-2-(1H)-并环戊二烯亚基]戊酸。 5-]]Hexahydro-5-hydroxy-4-(3-hydroxy-4-methyl-l-octen-6-ynyl)-2-(lH)-pentalenylidene pentanoic acid. 前列腺素类药,抗高血压药,抗凝血药,外围大脑血管舒张药。 亚罗普斯特。 Iloprost,Ciloprost,ZK 36374. INN,BAN,USAN.  |