网站首页  词典首页


请输入您要查询的字词:

 

字词 伊曲卡奈
类别 中英文字词句释义及详细解析
释义 伊曲卡奈

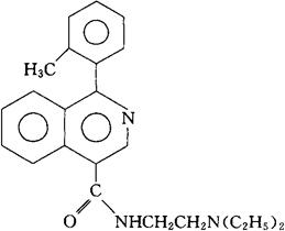
C23H27N3O=361.49

CAS-90828-99-2

N-[[2-(二乙氨基)乙基]-1-邻-甲苯基-4-异喹啉甲酰胺。

N-[2-(Diethylamino)ethyl]-1-o-tolyl-4-isoquinolinecarboxamide.

N-[2-(二乙氨基)乙基]-1-(2-甲苯基)-4-异喹啉甲酰胺。

N-[2-(Diethylamino)ethyl]-1-(2-methylphenyl)-4- iso-quinoline carboxamide.

抗心律失常药。

亚卓卡因德,伊曲卡尼。

Itrocainide.

INN,USAN.

随便看

 

离鸟网收录3541549条中英文词条,其功能与新华字典、现代汉语词典、牛津高阶英汉词典等各类中英文词典类似,基本涵盖了全部常用中英文字词句的读音、释义及用法,是语言学习和写作的有利工具。

 

Copyright © 2004-2024 vtrois.com All Rights Reserved
更新时间:2026/4/18 9:25:27