网站首页  词典首页


请输入您要查询的字词:

 

字词 伊伐莫德
类别 中英文字词句释义及详细解析
释义 伊伐莫德

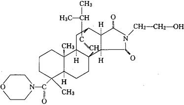
C30H44N2O5=512.69

CAS-53003-81-9

4-[[(3aR,3bS,5aR,6R,9aR,9bR,11R,11aR)1,2,3,3a,4,5,5a,6,7,8,9,9a,9b,10,11,11a-十六氢-2-(2-羟乙基)-12-异丙基-6,9a-二甲基-1,3-二氧代-3b,11-亚乙烯基-3bH-萘并[2,1-e]异氮(杂)茚-6基]羰基]吗啉。

4-[[(3aR,3bS,5aR,6R,9aR,9bR,11R,1iaR)-1,2,3,3a,4,5,5a,6,7,8,-9,9a,9b,10,11,11a-Hexadecahydro-2-(2-hydroxyethyl)-12-isopropyl-6,9a-dimethyl-1,3-dioxo-3b,11-etheno-3bH-naphth[2,1-e]isoindol-6-yl]carbonyl]morpholine.

N-(2-羟乙基)马来酐海松酰亚氨基酰吗啉。

N-(2-Hydroxyethyl)maleopimarimidyl morpholide.

免疫调节药,肝防护药。

Ivarimod,RU 18492.

INN,USAN.

随便看

 

离鸟网收录3541549条中英文词条,其功能与新华字典、现代汉语词典、牛津高阶英汉词典等各类中英文词典类似,基本涵盖了全部常用中英文字词句的读音、释义及用法,是语言学习和写作的有利工具。

 

Copyright © 2004-2024 vtrois.com All Rights Reserved
更新时间:2026/4/20 13:22:17