网站首页  词典首页


请输入您要查询的字词:

 

字词 电子自旋共振与自旋标记
类别 中英文字词句释义及详细解析
释义
电子自旋共振与自旋标记

电子自旋共振与自旋标记

电子自旋共振(ESR)是指电子在外加恒定磁场作用下能级分裂,由于自旋运动而具有磁性,从而对频率合适的电磁波产生共振吸收的现象。ESR又称电子顺磁共振,主要用于研究具有不成对电子的基团或分子,例如自由基和过渡金属离子。在正常代谢过程中,外界因素作用下或疾病发展过程中都有自由基的参与或过渡金属离子状态的变化。ESR现象是1944年Завойткий发现的,1954年Gordy等开始把ESR技术用于生物样品。1964年Mc Connell等发现有些稳定的自由基可以标记到不具有不配对电子的分子上,利用这种技术研究被标记分子的性质和运动,从而扩大了ESR技术的应用范围。这种技术即称为自旋标记技术。目前ESR技术已用于基础医学与临床医学问题的研究。
电子自旋共振的基本原理 电子的磁矩包括电子绕原子核运动而产生的轨道磁矩和电子绕本身的轴转动而产生的自旋磁矩。多数情况下,电子的总磁矩99%以上来源于自旋。一般分子中电子数为偶数,每两个电子自旋方向相反,磁矩抵消,而自由基则是具有不成对电子的基团,其磁矩没有抵消。在外界不存在磁场时,自由基或其他顺磁物质的电

图1 电子能级与磁场强度的函数关系

子磁矩方向是任意的,其能量都相等。在外加恒定磁场的作用下,磁矩将沿着磁场方向排列,或逆磁场方向排列,能级发生分裂,两个能级相差为gβH(图1)。
H为磁场强度,β是玻尔磁子(Bohr magneton),为一常数,β=9.274096×10-21erg·Gauss-1,g为谱线分裂因子,其值由顺磁物质的结构和性质决定。大多数有机自由基g值均在2附近,自由电子的g=2.0023。这时若有其磁分量方向与恒定磁场方向相垂直的射频能量hv,一般位于微波区,作用于自旋系统,其能量满足hv=gβH时,自旋系统将吸收能量hv而发生能级跃迁。
为满足共振条件既可固定磁场H,改变微波频率v;也可以固定微波频率v,改变磁场H。由于技术上的原因,大多数ESR波谱仪都是采用后一种方法,即由速调管产生频率固定的微波振荡,而由电磁铁产生强度可以变化的直流磁场,以满足共振吸收条件。图2表示最简单的ESR波谱仪的方框图。

图2 最简单的ESR波谱仪


由速调管产生的微波能量经波导管传输到谐振腔。腔的作用是产生共振吸收所需要的射频磁场,可集中微波能量、增强微波磁场和自旋系统的相互作用。腔内微波磁场的方向与外磁场方向垂直。当改变磁场强度H,满足共振条件时,由于电子共振吸收,通过谐振腔的微波能量将发生变化,这个变化经检波器检测,在放大后就可用记录仪表记录下来。由于这是固定微波频率,变化磁场而得到ESR讯号的,因此记录到的ESR谱是微波功率和磁场的关系(图3)。

图3 ESR吸收曲线(Hr是共振点磁场,△H是吸收曲线半高处的线宽)


图3表示的是最简单的自旋体系的情况,但是实际上,由于轨道磁矩、核磁矩引起的超精细相互作用,以及其他电子的偶极磁场(在分子中有一个以上未偶电子时)等的影响,造成波谱的形状和分裂是很复杂的。从谱线强度P、线宽△H、共振磁场Hr、超精细分裂和线形可以获得自由基的数量、g值和超精细偶合常数等信息。因此可对顺磁物质进行定性定量及其反应机理等的研究。
ESR技术测定的对象与应用 ESR是一种用来检测具有不成对电子物质的物理技术。例如具有不成对电子的自由基,具有两个相距甚远的不成对电子的双基;具有两个强耦合的不成对电子的三线态分子以及大多数过渡金属离子及稀土离子。
ESR技术可用于研究电离辐射损伤发展过程中生物大分子、水、单晶体生物样品的自由基反应。防护和敏化作用实质上涉及分子间能量转移问题。ESR技术证明生物大分子中存在少量的半胱氨酸,能够发生不成对电子的转移,这种能量转移的结果,对蛋白质分子起到了保护作用。用ESR瞬时谱技术研究了脉冲离解水溶液中核酸成分的瞬间自由基,以及半胱氨酸、半胱氨对这些瞬间自由基的作用机理,都取得了良好的结果。此外,ESR方法对阐明电子亲合辐射敏化物和生物大分子相互作用的机理也有一定进展。
自由基的活动规律在癌变过程中是一个重要问题。实验证明一系列致癌物进入体内后,以形成自由基的方式作用于细胞膜和DNA靶分子,导致癌变。许多抗癌、防癌药物本身都是有效的自由基清除剂,所以ESR方法可用于研究抗癌药物作用机理。
ESR技术还可以研究癌变过程中的微量元素活动规律。癌患者血清铜含量高于正常人,何杰金氏病人血液中血清铜蓝蛋白含量上升。癌患者的血浆由于微量元素的增高显示出顺磁共振波谱峰值的增高,经过放射治疗后,患者血浆中顺磁微量元素趋于正常水平。肿瘤组织中常含有较多的过渡族金属离子(顺磁物质) 的ESR信号,肿瘤组织和正常组织相比这种顺磁微量元素无论在量上或类型上都有所变化。在其它领域中,例如抗原与抗体在形成特殊复合物时的结构变化;酶的活性中心、酶及其底物的反应机理以及酶反应过程中自由基中间产物的研究;药物自由基中间体作用机理;许多病理、衰老过程中自由基反应;光合作用中能量转换过程的研究中,ESR均发挥了作用。
自旋标记 把一个理化特性已十分清楚的顺磁体即稳定的有机氧氮自由基嵌到或者接到生物大分子上,通过有关参数的变化可以探测邻近的离子环境、生物分子的有序态情况、生物大分子的空间构象的变化、生物大分子的局部运动以及小分子与生物大分子体系的相互作用等。
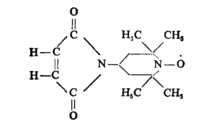
优良的自旋标记物要求性质稳定,能以一定的化学方式结合到生物分子上,而对生物分子结构的扰动则保持在最低程度。目前已合成适合各种用途的自旋标记物不少于百种。一般说来,自旋标记物大致可以分为三类:第一类是作为一种探剂,探测周围环境的状态、极性等物理、化学性质,例如2,2,6,6-四甲基哌啶氮氧稳定自由基(TEMPO)。

第二类是能与某种体系的分子进行特异性反应的探剂,例如N- (1-氧基-2,2,6,6-四甲基哌啶)-马来酰亚胺稳定自由基。

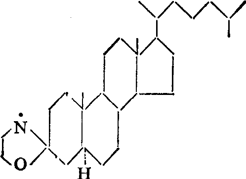
第三类其结构与某种生物分子相似,借自旋标记物的引入,可探知体系的有关结构和状态。例如胆甾烷自旋标记物。
自旋标记物的用途很广,其中有关人工膜和生物膜的研究是比较突出的一个方面。借助于自旋标记物可以获得双层膜中类脂的侧向扩散,有序性和脂的相互作用的信息。现已成功地研究了胆固醇和脂的相互作用,温度、pH和盐对脂膜的效应,膜中蛋白质和类脂相互作用等情况。此外用自旋标记化合物来探讨膜的运输功能、麻醉剂对膜的作用和膜的融合等也都取得了一定结果。自旋标记方法能够证明接触抑制细胞具有有序的膜类脂,而转化的细胞膜类脂流动性较大。应用自旋标记化合物研究致癌物和卵磷脂双层的相互作用也取得良好的结果。合成多聚芳香胺、雌二醇等致癌自旋标记物,可用来研究小分子致癌物与生物大分子的相互作用的关系。
☚ 中子衍射   核磁共振 ☛
00018801
随便看

 

离鸟网收录3541549条中英文词条,其功能与新华字典、现代汉语词典、牛津高阶英汉词典等各类中英文词典类似,基本涵盖了全部常用中英文字词句的读音、释义及用法,是语言学习和写作的有利工具。

 

Copyright © 2004-2024 vtrois.com All Rights Reserved
更新时间:2026/4/21 3:42:31