网站首页  词典首页


请输入您要查询的字词:

 

字词 甲霜灵
类别 中英文字词句释义及详细解析
释义

甲霜灵metalaxyl

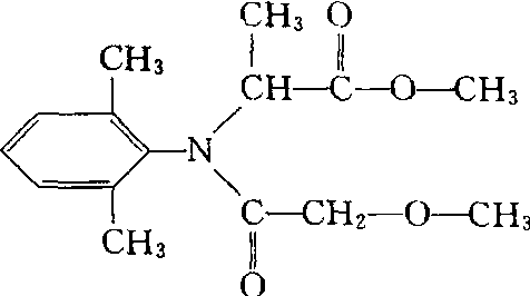
强内吸性取代苯酰胺类杀菌剂。商品又名瑞毒霉(Ridomil)。化学结构式:

1977年由瑞士汽巴—嘉基(Ciba-Geigy)公司首先开发。
性能 纯品为白色结晶,熔点71.8~72.3℃,密度(20℃)1.21,20℃时蒸气压为293.31×10-6帕。20℃时在各种溶剂中的溶解度: 水0.71%、己烷0.91%、甲醇65%、苯55%。在中性或酸性介质中稳定。高温(300℃)稳定。含量90%的原粉常温贮存稳定期达两年以上。对温血动物低毒,原药大鼠急性口服LD50为669毫克/千克,急性经皮LD50 > 3100毫克/千克,对兔皮肤和眼有轻微刺激作用。不致畸,无致突变作用,三代繁殖试验未见异常,两年喂饲试验,大鼠无作用剂量为50毫克/千克。对鱼、鸟和蜜蜂低毒,对虹鳟鱼、鲤鱼96小时LC50为100毫克/升,对蜜蜂LD50为20微克/只,对鹌鹑LD50为798~1067毫克/千克。对藻菌纲真菌,尤其是其中的卵菌具有优良的生物活性。它具有药效高、内吸性强、双向传导(向顶性和向基性)、残效期比较长、兼有保护和治疗作用、用药方法多样等特点。
应用 主要用于防治蔬菜、果树、经济作物和禾谷类作物由藻菌纲真菌引起的病害,对疫霉属所致马铃薯晚疫病、番茄疫病、烟草黑胫病; 假霜霉属引起的黄瓜和啤酒花霜霉病; 单轴霉属所致葡萄霜霉病;指梗霉属引起的谷子白发病; 霜霉属引起的烟草和洋葱霜霉病; 以及由腐霉属引起的各种猝倒病及种腐病等20多种病害,都具有良好防治效果。保护喷洒使用浓度为250~350毫克/升(有效成分),治疗喷洒使用浓度为350~500毫克/升,防病效果一般为80~98%。残效期为10~15天。在黄瓜、葡萄、烟草和啤酒花上,也可采用颗粒剂穴施。防治谷子白发病则采用35%粉剂或可湿性粉剂拌种,制剂用量为种子量的0.2~0.3%。以颗粒剂或灌根施用,有效期可稳定在30天以上。在有效剂量下,对作物无药害。单独使用易使病原菌产生抗药性,加工制剂有25%和35%可湿性粉剂、35%粉剂、5%颗粒剂、58%甲霜灵锰锌混剂(10%甲霜灵+48%代森锰锌)及其他一些混剂等。这些混剂可以降低用药成本和延缓抗药性生成。

甲霜灵metalaxyl

又称瑞毒霉。乙酰丙氨酸类杀菌剂。化学名称:D,L-N-(2,6-二甲基苯基)-N-(2′-甲氧基乙酰)丙氨酸甲酯。化学结构式如下。原药淡褐色结晶,20℃时水中溶解度7.1g/L,在甲醇中溶解65%,溶于多种有机溶剂。1977年由瑞士汽巴一嘉基公司开发。选择性内吸杀菌剂,主要对腐霉菌、疫霉菌和霜霉菌有特效,种子处理、土壤浇灌、叶面喷洒都可,有较强的植物吸收和双向运转的功能,以向顶输导为主。残效期长,对由卵菌引起的多种作物病害具保护和治疗作用。为扩大防治范围,可与其他保护剂如代森锰锌、灭菌丹、硫酸铜等制成混剂。对植物安全,对大鼠急性口服LD50669 mg/kg,经皮LD50>3 100 mg/kg,对野生动物和鱼类毒性极小。

随便看

 

离鸟网收录3541549条中英文词条,其功能与新华字典、现代汉语词典、牛津高阶英汉词典等各类中英文词典类似,基本涵盖了全部常用中英文字词句的读音、释义及用法,是语言学习和写作的有利工具。

 

Copyright © 2004-2024 vtrois.com All Rights Reserved
更新时间:2026/4/18 16:23:45