网站首页  词典首页


请输入您要查询的字词:

 

字词 甲醚菊酯
类别 中英文字词句释义及详细解析
释义

甲醚菊酯methothrin

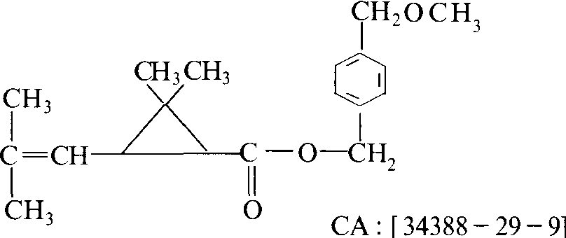
一种含醚结构、对光不稳定的合成拟除虫菊酯杀虫剂,商品名为甲苄菊酯,有四个光学异构体。化学结构式:

1973年日本仲西(Nakanishi)等首先合成。中国江苏省扬州农药厂于80年代初期开始研制、开发,并投入生产。
性能 纯品为无色油状液体,原药为淡黄色至红棕色透明油状液体,沸点350℃、150~151 ℃/1.33×102帕、142~144℃ /2. 67 帕,密度 d约 0. 9。对光不稳定,紫外线和热能促使其分解,酸性介质中较稳定,碱性介质中易分解,常温下密闭贮存较稳定。几乎不溶于水,溶于煤油,易溶于醇、丙酮、苯、甲苯等有机溶剂。对高等动物低毒,原药对大鼠急性经口 LD50为4040毫克/千克,对豚鼠皮肤无刺激作用,对眼睛有一定的刺激作用。试验表明在动物体内无明显的蓄积毒性。在试验剂量内对试验动物未发现致突变作用。暂定对人体每日允许摄入量(TADI)不超过0.54毫克/千克,推荐的安全浓度为9毫克/米3。对鱼类等水生生物高毒。与其他拟除虫菊酯比,杀虫活性尚不够高,但化学结构较简单,易合成,属神经毒剂,具有触杀作用、一定的熏蒸作用和快速击倒作用。对多种卫生害虫有效。
应用 加工成乳油、蚊香、电热蚊香等剂型,用于防治蚊、蝇等卫生害虫。甲醚菊酯与氯菊酯或与仲丁威再加上增效剂配成混合制剂,用于防治蚊、蝇、蜚蠊等,可提高杀虫效果。

甲醚菊酯methothrin

又称甲苄菊酯、对甲氧甲基菊酯。化学名称:4-甲氧甲基苄基(R、S)顺、反-2,2-二甲基-3-(2-甲基-1-丙烯基)环丙烷羧酸酯。化学结构式如下。是四种异构体的混合物。纯品为无色油状液体,沸点142~144℃/2.67 Pa,折光指数(n20d )1.5132,密度0.9。不溶于水,易溶于各种有机溶剂。适用于室内防治蚊、蝇。大鼠急性口服LD50为4 040 mg/kg,小鼠为1 747 mg/kg。

随便看

 

离鸟网收录3541549条中英文词条,其功能与新华字典、现代汉语词典、牛津高阶英汉词典等各类中英文词典类似,基本涵盖了全部常用中英文字词句的读音、释义及用法,是语言学习和写作的有利工具。

 

Copyright © 2004-2024 vtrois.com All Rights Reserved
更新时间:2026/4/20 14:45:59