网站首页  词典首页


请输入您要查询的字词:

 

字词 甲氨蝶呤
类别 中英文字词句释义及详细解析
释义

甲氨蝶呤methotrexatum

又叫氨甲叶酸,系一种抗叶酸类抗肿瘤药。临床用于急性白血病、绒毛膜上皮癌、恶性葡萄胎疗效较好;对骨肉瘤、软组织肉瘤、肺癌、卵巢癌也有效;动脉插管治疗头颈癌、肝癌效果也好。片剂为2.5mg、5mg、10mg 3种;粉针剂每支5mg、10mg、25mg、50mg、100mg。用法用量依疾病和病情而别。本品毒副作用有:消化道症状、骨髓抑制、肝肾功能损害、皮炎及脱发等。

甲氨蝶呤

甲氨蝶呤

叶酸R1=OH
R2=H
甲氨蝶呤R1=NH2
R2=CH3
氨蝶呤R1=NH2
R2=H

甲氨蝶呤(methotrexate,amethopterin,MTX)又名氨甲蝶呤、4-氨基N10-甲基叶酸,是第一个治疗肿瘤有效的抗代谢物。对绒毛膜上皮癌和急性淋巴性白血病有较好疗效。MTX水合物为黄色结晶,m.p.185~204℃(分解),微溶于稀酸,溶于稀碱,较不稳定,几不溶于水、醇、氯仿和乙醚等有机溶剂。
40年代发现,干酪乳杆菌中抑制小鼠移植性肿瘤肉瘤S180和自发性乳癌的有效成分为蝶呤三谷氨酸,后者有弱的抗叶酸作用;并观察到缺乏叶酸则骨髓受抑制;叶酸能促进白血病发展等现象,故开始从叶酸抗代谢物中寻找抗癌药。1947年氨蝶呤试用于临床,对儿童白血病有效。继后发现MTX对小鼠白血病L1210有较高的治疗指数,50年代试用于临床,很快取代了氨蝶呤用于白血病治疗,以后扩大至治疗其它肿瘤。它是研究最深入的抗肿瘤药物之一。
MTX的结构与叶酸近似,叶酸4位上羟基和10位NH的氢在MTX中分别为氨基和CH3。MTX与二氢叶酸还原酶结合,阻断叶酸和二氢叶酸还原为活化型的四氢叶酸,因而抑制细胞内的一碳转移,影响嘌呤新合成和脱氧尿嘧啶核苷酸转变为脱氧胸腺嘧啶核苷酸,使DNA和RNA合成受阻。MTX在血浆中浓度达10-8mol/L,能有效地阻断脱氧尿嘧啶核苷经由脱氧胸腺嘧啶核苷酸掺入DNA,而抑制嘌呤合成的浓度为10-7mol/L。MTX与二氢叶酸还原酶的结合是可逆的,但很牢固。二氢叶酸的量高于MTX1000倍时才能对抗MTX的结合。在体外,当MTX低于完全抑制DNA合成的浓度时,能诱导人体绒毛膜上皮癌细胞的分化,增加绒毛膜促性腺激素的产生。MTX为细胞周期特异性药物,主要作用于S期细胞,对G1期亦有一定作用,对G1/S有延缓作用。
在对MTX耐药的细胞中二氢叶酸酶的合成速度增加,酶含量升高。同时耐药细胞株摄取MTX量减少。
当给正常剂量MTX(0.1~1.0mg/kg)时,血药浓度高峰为1.5×10-6mol/L,浓度降低呈三相,各相半寿期相应为0.75、3.5和27小时,给药后24小时内>50%的给药量由尿中排出。大剂量(50~200mg/kg)MTX 4小时给药,肾功能正常的病人血药浓度的高峰为10-4--10-3mol/L。给药50mg/kg时,11小时内血药浓度保持在≥10-5mol/L,给200mg/kg时则可保持17小时。给MTX后药物很快分布到动物或人体各组织,在肝、肾中最高,脑、脂肪、骨胳肌中低。MTX不易透过血脑屏障,在脑脊液中的MTX浓度小于血液中的1/10。在正常剂量下,MTX的转化不显著,但大剂量给药后12~24小时间,从尿中排出的MTX类化合物中有7~33%为代谢物7-OH MTX。在24小时后,7-OHMTX的浓度近于或超过MTX。血液中亦可测出。7-OH MTX不是二氢叶酸还原酶的有效抑制剂,它可能与MTX治疗时发生肾衰竭有关。2、4二氨基蝶呤酸为另一个代谢物,是二氢叶酸还原酶的弱抑制剂,较MTX溶解度小。
在细胞内MTX能与谷氨酸结合为MTX-多聚谷氨酸。在L1210白血病、小鼠的肝、肾和小肠细胞中均能测出。在给药后4小时癌细胞中50%的药物以此形式存在。在肝脏中的MTX多聚谷氨酸能贮存几个月。它能透过细胞膜,生物活性与MTX相同。MTX与人体的成纤维细胞培养,撤去MTX后,还能较长时间抑制TdR掺入DNA,这可能与MTX以多聚谷氨酸形式存在有关。
MTX在体内与血浆蛋白结合,水杨酸、磺胺、对氨基苯甲酸和苯妥英等能取代MTX,增加血清中游离药物的浓度,使毒性加强。丙磺舒(probenecid)能抑制弱酸MTX从肾脏排出,延迟全身或鞘内药物的半寿期。氟尿嘧啶和氟尿嘧啶苷拮抗MTX,与MTX合并应用影响疗效。但在给5-FU之前给MTX有协同作用。对小鼠白血病L1210给MTX 8小时后给长春新碱亦有协同作用。
MTX在临床上抗癌谱较广,为合并用药常用方案组成之一。适用于急性白血病、滋养叶细胞肿瘤、淋巴肉瘤、非洲儿童淋巴瘤和蕈样霉菌病。大剂量用药对骨肉瘤、头颈部上皮细胞瘤,还有肺和卵巢癌以及多发性骨髓瘤等有效。鞘内给药可用于肿瘤脑转移和脑膜白血病。大剂量用药能治愈70%的绒毛膜上皮癌患者。
MTX的不良反应主要为骨髓抑制,给药后很快发生白细胞和血小板下降以及贫血等。胃肠道反应,严重时发生便血。对肝脏有损伤,尤其是大剂量或小剂量长期应用更易发生,久用有致肝硬化和肝纤维化的可能。其它还有脱发、皮炎、色素沉着、药物性肺炎、肾衰竭等。鞘内给药会引起各种神经系统毒性如抽搐、轻瘫等。妊娠早期使用可致畸胎。
MTX可口服、肌注、静注、动脉滴注和鞘内注射。口服MTX生物利用度不高且不稳定。
参考剂量: 白血病口服每天0.1mg/kg,一般需3至4周显效,肌注每周2次,每次20~25mg。
大剂量MTX给药的剂量范围100mg~10g/m2,每1~3周一次,MTX在1~2L液体中滴注。并给以CF(citrovorum factor,5甲酰四氢叶酸,folinic acid,leu-covorin)或胸腺嘧啶核苷等解毒剂。CF无毒,是营养补品,它代谢为活化的5-甲四氢叶酸,绕过MTX抑制二氢叶酸还原酶的抑制作用,解除MTX对细胞的毒性。CF是天然品,leucovorin是合成品,所用为其钙盐,合成品的活性为CF的一半。在60年代就报道治疗急性淋巴白血病用大剂量MTX合并CF有好处,但至今对CF的解毒程度和给药时间和方案尚未肯定。此种用药方法还在试验阶段,需要有经验的医生和细致的用药方案。不然会出现致死性的肾脏和骨髓毒性。今亦在试用脂质体作载体代替大剂量给药,企图提高肿瘤细胞摄取药物的速度。
为提高甲氨蝶呤及抗叶酸类药物对瘤细胞的选择性,30多年来合成了不少衍生物,并对药物结构和活性关系进行了较深入定性和定量关系的研究。
最近以电子计算机技术研究二氢叶酸酶的分子与MTX和叶酸结合的结果,对分子水平的结合得出了清晰的立体图形,这对设计抗叶酸的药物有了更好的基础。


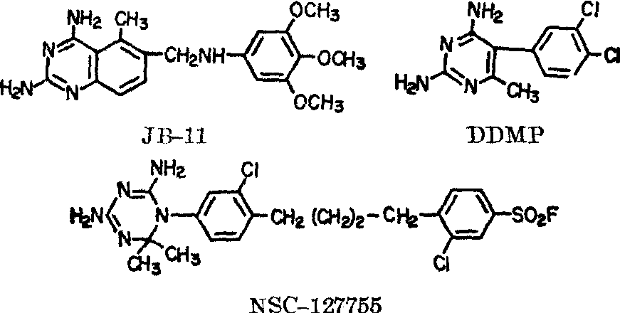
目前较有希望的本类衍生物有JB11(TMQ),它对二氢叶酸酶的抑制程度与MTX相近,但对三种MTX没有抑制作用的实体瘤,小鼠B16黑色素瘤和两种肠癌-肠癌26及38有作用。DDMP早在50年代作为抗叶酸药在临床试用。对急性白血病有显著疗效,但由于它的毒性而停止试用。70年代发现在体外,它与CF同时用,选择性地保护对MTX敏感的正常细胞,而杀灭对MTX耐药的瘤细胞,故又重新进入临床试用。初步结果对肾细胞瘤、头颈部上皮细胞癌、黑色素瘤、肺癌等有效。它的脂溶性大,在血浆中半寿期达180小时。另一个脂溶性的抗叶酸化合物为MTX二丁酯,它对MTX耐药的瘤株有作用,与其它抗叶酸不同,它抑制胸腺嘧啶核苷的转运。此外,NSC-127755亦是正在发展中的药物。
☚ 甲氮咪胺   氟尿嘧啶 ☛
00005688
随便看

 

离鸟网收录3541549条中英文词条,其功能与新华字典、现代汉语词典、牛津高阶英汉词典等各类中英文词典类似,基本涵盖了全部常用中英文字词句的读音、释义及用法,是语言学习和写作的有利工具。

 

Copyright © 2004-2024 vtrois.com All Rights Reserved
更新时间:2026/4/19 23:10:56