网站首页  词典首页


请输入您要查询的字词:

 

字词 任意角的三角函数
类别 中英文字词句释义及详细解析
释义 任意角的三角函数

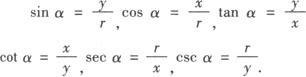
1.任意角的三角函数定义

设α是一个任意大小的角.角α的终边上任意一点P的坐标是(x,y),它与原点的距离是r(r>0),那么角α的正弦、余弦、正切、余切、正割、余割分别是

2.正弦、余弦、正切、余切、正割、余割分别可看成是从一个角的集合到一个比值的集合的映射,它们都是以角为自变量,以比值为函数值的函数,这六个函数统称为三角函数.

注 确定三角函数的定义域时,主要应抓住分母为零时比值无意义这一关键,当且仅当角的终边在坐标轴上时,点P的坐标中必有一个为0.

3.三角函数值的符号

各三角函数值在每个象限的符号如图(各象限注明的函数为正,其余为负).

例1 已知sinα>sinβ,则下列命题成立的为( ).

A.若α、β是第一象限角,则cosα>cosβ

B.若α、β是第二象限角,则tanα>tanβ

C.若α、β是第三象限角,则cosα>cosβ

D.若α、β是第四象限角,则tanα>tanβ

答案 D.

A.{—2、4}

B.{—2、0、4}

C.{—2、0、2、4}

D.{—4、—2、0、2、4}

答案 B.

例3 已知点P(sinα—cosα,tanα)在第一象限,则在[0,2π)内α的取值范围( ).

分析 在同一直角坐标系中作出单位圆和直线y=x,由已知有sinα>cosα,故角α的终边应该落在直线y=x的上方半个圆内.

又∵tanα>0,角α的终边应该落在第Ⅰ、第Ⅲ两个象限内,如图,可知.应选B.

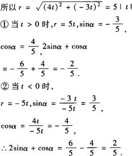
例4 (1)角α的终边上一个点P(4t,—3t)(t≠0),求2sinα+cosα的值.

(2)已知角β的终边在直线上,用三角函数定义,求sinβ和cotβ的值.

分析 (1)由题目特点,可考虑利用三角函数的定义求解.

解 据题意,有x=4t,y=—3t,

(2)设P(a,)(a≠0)是角β终边y=上一点,则

若a<0,则β是第三角限角,r=—2a,

此时

若a>0,则β是第一角限角,r=2a,

此时

评注 本例(1)(2)中参数t和a都是不为零的实数,所以应对它们分类讨论,这是不应忽略的.

例5 已知一扇形的中心角是α,所在圆的半径是R.

(1)若α=60°,R=10cm,求扇形的弧长及该弧所在的弓形面积.

(2)若扇形的周长是一定值C(C>0),当α为多少弧度时,该扇形有最大面积.

解 (1)设弧长为l,弓形面积为S

随便看

 

离鸟网收录3541549条中英文词条,其功能与新华字典、现代汉语词典、牛津高阶英汉词典等各类中英文词典类似,基本涵盖了全部常用中英文字词句的读音、释义及用法,是语言学习和写作的有利工具。

 

Copyright © 2004-2024 vtrois.com All Rights Reserved
更新时间:2026/4/19 0:19:22