生产周期shēng chǎn zhōu qīпроизвóдственный пер од (цикл)生产周期又称生产循环期。某项生产从原材料或半成品投入生产到制成产品或完成某一工艺过程的全部日历时间。工业企业生产是周而复始、不断循环的,从原材料到生产出成品是一个生产周期。生产周期时间包括:(1)劳动过程时间,其中又包括原材料、辅助材料或半成品的准备和运输时间,工艺加工时间,产品检验时间,产品包装和入库时间;(2)自然过程时间,常间杂于劳动过程时间之中,如某些产品在生产过程中的干燥、冷却、发酵等的时间;(3)各种生产间断时间,如假日、公休、非连续性生产的夜间职工休息时间等。生产周期的划分可分为:按产品范围大小划分,可分为整个产品生产周期、部件生产周期和零件生产周期;按工艺过程划分,可分为工艺生产周期、工序生产周期和生产环节生产周期。整个产品的生产周期又称为成品复杂生产周期,单个工艺过程或单位工艺过程的生产周期又称为简单生产周期。产品生产周期的长短,受工艺加工的复杂程度和生产的自然过程长短所制约。不同产品有不同的生产周期长度,不能相互比较。但同一产品,却可以由于改进工艺加工方法,采用新的科学技术,缩短劳动过程时间和自然过程时间,从而缩短生产周期。这意味着在同样时间内增加产品产量,提高劳动生产率和经济效益。 生产周期企业从投入原材料到生产出可供销售的成品所经历的全部时间。包括原材料准备时间、劳动过程时间(包括自然力作用时自然时间)和劳动过程中断时间。 生产周期Production Cycle亦称“生产循环期”。产品自开始生产至完成生产的全部时间。在工业中,指产品从原材料投入生产起到制成成品验收止的全部时间,由劳动过程时间(工艺、运输、检验等时间)、自然过程时间(干燥、发酵等时间)和各种间断时间(如休假日)所构成。在农业中,指从整地播种或幼畜开始进入生产过程到收获产品止的全部时间。 生产周期产品从原材料(或半成品)投入生产到产成品检验入库所经历的时间。它由两部分时间组成:一是工序时间,即加工、检验、运输所需的时间;二是等待时间,即劳动过程暂时中断的时间。等待时间有两类: 一类是技术性中断时间,如发酵时间、冷却时间;一类是组织性中断时间,如保险储备时间、停工待料时间。生产周期的长短决定企业的经营效率和资金使用效率。在资金数量一定的情况下,生产周期越短,经济效益就越高;反之就越低。加强生产组织与技术管理,缩短生产周期,是企业经营管理者的重要职责之一。 生产周期 生产周期Production Cycle产品从原材料投入生产开始到成品出产为止的全部日历时间。它是编制生产计划及生产作业计划的重要期量标准之一,明确规定了产品在各工艺阶段投入、出产时间,反映着企业的工艺技术和组织管理水平。生产周期越短,会使设备、生产面积占用时间越短,在制品占用量越小,资金周转加快,效益越高。 生产周期包括劳动过程时间、自然过程时间和各种停歇时间。 确定生产周期的步骤是,首先要根据生产流程,确定产品(或零件)在各个工艺阶段上的生产周期,然后确定产品的生产周期。 以机械产品加工为例,其工艺阶段生产周期计算公式为: 
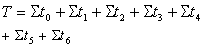
式中:T——一批零件生产周期;t 0——工艺工序时间;t 1——自然过程时间;t 2——运输时间;t 3——检验时间;t 4——工序间等待时间;t 5——工艺阶段之间的等待时间;t 6——准备结束时间。以上各部分时间中如有按工作时间计算的,均应化成日历时间后再求和。如发生重合时间,要注意剔除重合部分。工艺工序时间是计算零件生产周期的基础。一批零件在某道工序上的加工时间,按下式计算: 
式中:T op——一批零件在某道工序上的加工时间;Q——生产批量;F——工作日内有效工作时间;T 0——单件工序时间;S——执行该工序的工作地数;K——该工序的工时定额完成系数;T 6——准备结束时间。一批零件各工艺工序时间的总长度和它在工序间的移动方式有关,在顺序移动、平行移动、平行顺序移动方式下工艺工序时间又各有一定规律。 把各个工艺阶段的生产周期汇总起来,就是产品的生产周期。按下式计算: T=T1+T2+T3+T4+T5
式中:T——产品生产周期;T 1——毛坯准备生产周期;T 2——毛坯保险期;T 3——机械加工生产周期;T 4——机械加工保险期;T 5——装配生产周期。由于各个零部件的装配程序比较复杂,产品生产周期的确定,可采用图表法,它是用图表来表示生产过程各组成部分的相互联系,按反工艺顺序,从后往前绘制出它的甘特图,从而推算出生产周期。 对于一些大型、复杂的一次性项目的生产周期,可采用网络计划技术绘制网络图,算出生产周期。 ☚ 批量 生产间隔期 ☛ 生产周期 生产周期也称生产循环期,产品从原材料 (或半成品) 投入生产到成品检验入库为止所需的全部日历时间。从性质上看,生产周期的时间组成如下所示: 
为了编制生产作业计划,要制定标准的生产周期,这是重要的期量标准之一。缩短产品的生产周期是企业生产管理的基本任务之一,它具有重要意义。缩短生产周期,意味着在制品占用量的相应减少,从而可以减少流动资金占用量和生产面积,减少在制品的保管费用; 可以缩短交货期限,增强企业竞争能力。 ☚ 生产费用 生产的周期性 ☛ 生产周期 生产周期亦称“生产循环期”。指工农业产品自原材料 (或半成品) 投入生产开始到产品完工入库为止所经历的全部时间。生产周期由劳动过程时间 (如工艺过程时间、运输时间、检验时间) 、自然过程时间 (如干燥、冷却、发酵等时间) 以及由工作制度和生产组织条件决定的各项间断时间 (如休假日) 等所构成。缩短生产周期,不仅能使企业提供更多产品满足社会需要,而且能减少在制品积压,提高资金、设备的利用率。 ☚ 生产过程 农业生产周期 ☛ 生产周期 生产周期亦称“生产循环期”。产品从投入原材料开始到制成成品验收入库所经历的全部日历时间。由生产准备时间,工艺加工、生产时间,检查质量时间,搬运及入库时间,劳动过程中断时间等构成。劳动中断有两种情况: 一种是技术性中断,也就是生产过程中必不可少的时间,如按生产要求劳动对象需自然干燥或冷却; 一种是组织性的中断,由生产过程组织条件影响和组织工作不周引起,如等待加工、等待装配、等待运输等。 ☚ 自然生产过程 生产专业化 ☛ 生产周期production cycle |