价格(数量)折扣接受条件
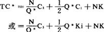
所谓价格(数量)折扣,是指供货单位为了鼓励用户多购货物,凡对一次购买量不小于某一数量界限时给予的一种价格上的优惠,即折扣。 确定是否接受数量折扣的年总成本比较法: 仍以模型Ⅰ为对象,设 为折扣数量,当订货批量不少于 时,可享受价格优惠折扣率为dK(%)。 按Q*计算的年存货总成本:  (单位保管费用以保管费用率表示:C1=Ki) 按 计算的年存货总成本:  若TC*> 则价格折扣可予接受,否则拒绝。 例:设价格折扣条件为 ≥1800件时,dk=2%,i=20%,其余数据同模型Ⅰ例。试问上述数量折扣是否应接受? (1)计算TC* 模型1例中已算出:TC*=14640(元/年) (2)计算  所以对 ≥1800件为条件的dk=2%的价格折扣订货方式不予接受,仍按原题Q*=300件订货。 〔参〕确定型存贮模型Ⅰ |