网站首页  词典首页


请输入您要查询的字词:

 

字词 环磷酰胺
类别 中英文字词句释义及详细解析
释义

环磷酰胺cyclophosphamidum

又叫环磷氮芥、癌得星,系一种烷化剂的抗肿瘤药。可用于急性白血病、慢性淋巴细胞白血病、恶性淋巴瘤、其他癌瘤;也可作为免疫抑制剂用于流行性出血热、肾炎肾变期等。本品针剂每支100mg、200mg;肠溶糖衣片每片50mg。静注15mg/kg 1周1次,或每2~3周1次,1次2~3g,总量达8g为1疗程;口服每日3mg/kg,分次服用。用本品可有胃肠道反应、脱发、白细胞降低等;肝功能可有损害;引起中毒性膀胱炎为本药特有的药物毒性反应;也可有头痛、幻视、不安等。

环磷酰胺

环磷酰胺


环磷酰胺 (endoxan,cyclopho-sphamide,cytoxan,CTX,B518) 为肿瘤化疗药中应用最广的烃化剂。白色结晶,含一分子结晶水,m. p. 41~45℃,失水成油状物。无臭,微带苦味,在20℃,1g药溶于25ml水,或1ml乙醇中。
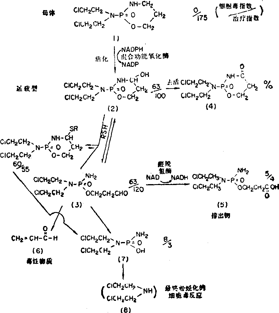
环磷酰胺于1958年由Armold等合成,至今仍为最常用的抗肿瘤药之一。环磷酰胺对多种实验动物肿瘤有效,为潜伏烃化剂,在体外无烃化能力。原设想环磷酰胺可能在富有磷酰胺水解酶的癌细胞中被水解释放出氮芥基团,选择性地作用于癌细胞。后发现环磷酰胺不在瘤细胞中活化,而先在肝脏中为微粒体混合功能氧化酶系转变为活化的半缩醛式4-羟环磷酰胺(2)及与其相平衡的丙醛氧基磷酰胺 (3)。此两初级代谢物本身烃化作用微弱,且大部分再为酶氧化成为(5)和没有显著细胞毒的(4)。50%的环磷酰胺从体内以(4)和(5)形式在尿中排出。部分的4-羟环磷酰胺和醛基磷酰胺经过酶分解为具有细胞毒的丙烯醛(6)和磷酰胺氮芥(7)。磷酰胺氮芥的烃化力最强。在以上一系列的代谢物中只有4-羟环磷酰胺的治疗指数(LD50/ED50)与环磷酰胺的接近。丙烯醛、磷酰胺氮芥、去甲氮芥三者对癌细胞的选择性较其前体差。故推测4-羟环磷酰胺为原药的运载型,但还不是烃化分子,由环磷酰胺在肝脏缓慢转化后进入血液,运转至靶细胞再产生作用。4-羟环磷酰胺与磷酸二酯酶作用而产生具有烃化能力的磷酰胺氮芥 (7),磷酰胺氮芥(7) 的形成是细胞毒的关键。在磷酸二酯酶中,尤以与DNA多聚酶处于同一蛋白质分子的3′,5′外切核酸酶,其水解4-羟环磷酰胺的活力最强,所释放的磷酰胺氮芥(7),随即烃化处于同一分子的邻近的DNA多聚酶部分,抑制DNA合成,由此选择性地影响增殖细胞(包括瘤细胞) 的生长。故动物直接摄入磷酰胺氮芥将不具有环磷酰胺的特性。4-羟环磷酰胺转变为磷酰胺氮芥时,还同时产生丙烯醛,被认为是引起膀胱炎毒副作用的原因。转变(2)或(3)为无活性的(4)和(5)的酶在大鼠的肝、肾和肠表皮中含量高,借此可以解毒。故细胞受损较小。癌细胞含此酶较少,较多的原药在癌细胞中经由(2)或(3)产生磷酰胺氮芥,抑制细胞生长。以此可解释环磷酰胺较高的治疗指数。环磷酰胺所表现的性质与多种代谢途径和产物有关。

环磷酰胺代谢图


人体口服环磷酰胺易被吸收,服后约一小时血药浓度达最高峰,半寿期1.3~6.8小时。静脉注射后慢相半寿期2~4小时。血浆中烃化活力的平均半寿期8.8小时,口服和静注相似。而口服的生物有效率是静注的3.5倍。在尿或粪中排出的原药量较少。环磷酰胺在体内的活化和代谢受多种酶的作用,故诱导或抑制有关酶的物质能影响该药的药理作用。如在给药前给以苯巴比妥或别嘌呤醇,相应缩短或延长血浆中药物的半寿期。肾上腺皮质激素可能通过抑制微粒体酶而降低环磷酰胺的作用。
在临床上,环磷酰胺对多种肿瘤有效,尤其是何杰金病及其它淋巴瘤、乳癌、白血病、多发性骨髓瘤、肺癌和各种肉瘤。它是联合化疗方案中常用的组分。由于它的免疫抑制能力,故亦用于治疗自身免疫病。
环磷酰胺的主要不良反应是抑制血象,对白细胞的影响比血小板大,停药可恢复。恶心和呕吐常发生在大剂量静脉注射后8~10小时。环磷酰胺不同于其它烃化剂,它引起脱发,但毛发能再生,有时在给药过程中即生发,表现了正常细胞对环磷酰胺逐渐产生耐药性。磷酰胺氮芥没有脱发作用,此作用与原药的其它脂溶性更大的代谢物有关。出血性膀胱炎为环磷酰胺特有的副作用,更多发生于儿童,产生于大剂量静注或长期口服小量后,合并用苯丙氨酸氮芥加剧炎症。此副作用常用利尿药或使尿碱化等方法来处理。最近发现2-巯基乙磺酸钠 (MAS) 能定量地与丙烯醛结合,对解除环磷酰胺类对泌尿系统毒性的效果较好。一般来说,环磷酰胺对肝功能影响较小,但对个别病人可产生黄疸及肝功能损害。肝病患者应慎用。长期应用可导致可逆的女性闭经和男性无精。环磷酰胺有致畸作用,孕妊期用药有可能出现畸胎。环磷酰胺对人体有引起膀胱癌或白血病的可能。以环磷酰胺治疗的非肿瘤病人,其肿瘤发生率比正常人群有较高的趋势。这种致癌可能性亦见于其它抗癌药。
环磷酰胺可单一或与其它抗癌药物合并应用。能口服或注射,给药时程和剂量的变动范围较大。剂量可根据病种和病人的反应而定。最大的一次剂量为500~1500mg/m2,为2~4周重复,这种给药方式更适宜于静注。每天连续给药剂量为60~120mg/m2。
环磷酰胺分子中有手性的磷原子,故分子有 (+) 和(-)的一对光学异构体。异构体 (+)、(-)和消旋体在体内的代谢差异在各种动物中不同,在人体内各异构体的代谢速度相似,推测它们的疗效应无差异。
环磷酰胺对肿瘤选择作用的特性与酰胺单脂环的环合结构有关,结构稍微变动使选择性消失。环的碳4、5、6位以甲基取代尚能保留一定选择性,治疗指数降至12~14。而4,或5位的双甲基取代则使活性消失,可能与碳4不能氧化有关。而碳6双甲基化衍生物的治疗指数10,保持部分的选择性。
曾合成了大量环磷酰胺衍生物,尚未发现肯定比母体更好的药物。其中异环磷酰胺(isophosphamide),m. p.39~41℃和氯乙环磷酰胺(trophosphamide),m. p. 50~51℃,在临床试用,疗效与环磷酰胺相似。对异环磷酰胺的研究较多,它的代谢过程与环磷酰胺相似。

异环磷酰胺

氯乙环磷酰胺


我国曾合成了一系列以氨基酸为载体的磷酰胺氮芥,其中甘氨酸为载体的甘磷酰芥(6202),白色结晶,m. p.87~89℃,在临床试用,对乳癌、淋巴瘤、肺癌有效,对宫颈癌、子宫平滑肌肉瘤和慢性粒细胞白血病亦有一定疗效。本药不需要肝微粒体酶系活化。在临床局部外用对癌性溃疡有较好疗效。

甘磷酰芥

☚ 苯丁酸氮芥   噻替派 ☛
00005680
随便看

 

离鸟网收录3541549条中英文词条,其功能与新华字典、现代汉语词典、牛津高阶英汉词典等各类中英文词典类似,基本涵盖了全部常用中英文字词句的读音、释义及用法,是语言学习和写作的有利工具。

 

Copyright © 2004-2024 vtrois.com All Rights Reserved
更新时间:2026/4/19 3:20:08