网站首页  词典首页


请输入您要查询的字词:

 

字词 环己烯酮除草剂
类别 中英文字词句释义及详细解析
释义

环己烯酮除草剂cyclohexanedione herbici-des

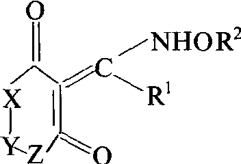
防治阔叶作物田中禾本科杂草的茎叶处理除草剂。化学结构通式:

X、Y、Z为杂原子时,化合物具有较高的苗前除草活性;当它们为碳原子时,化合物具有较高的苗前与苗后除草活性。R1与R2的取代基影响化合物的活性与选择性。其中R1与Y取代基的影响最大。日本曹达公司(Nippon Soda Co.)首先开发。
简史 70年代初期,在杀螨剂苯螨特(乙基-a-苯酰-3-氯-2,6-二甲氧基苯氢肟酸酯)衍生物中发现了一种新化合物,以此为基本结构,合成了吡喃、双甲酮、丙二酰脲等各种杂环化合物。结果发现,双甲酮化合物具有很高的茎叶处理活性,双甲酮环上含一个烷氧氨基烷叉基是活性的必备条件。据此于1973年筛选出第一个品种禾草灭(Alloxydim-Sodium),它在每公顷用量1千克时,防治一年生禾本科杂草效果较好,但对多年生禾本科杂草的作用较差,用量需超过4千克。进一步的研究证明,在1,3-二氧代环己烷环第5位用含硫烷基取代双甲酮的偕二甲基时,一些化合物对一年生与多年生禾本科杂草的活性很高,因而合成了含硫烷基侧链的环己烷化合物进行筛选,于80年代初开发出高活性品种稀禾定(sethoxydim),其后又相继开发出活性更高的品种环烯定(Cycloxydim),烯草酮(clethodim)与Tralkoxydim。
品种与特性 环己烯酮类除草剂是一类高活性品种,其特性是: ❶防治禾本科杂草特效,使用时期幅度较宽,从杂草苗期至分蘖期使用均有效;
❷被杂草茎叶迅速吸收并在体内传导,故喷药后降雨对药效无影响;
❸主要抑制禾本科植物的分生组织,使生长受抑制而死亡;
❹对双子叶植物高度安全,超过正常用量数倍对作物也无害;
❺在土壤中易分解,持效期很短,对后茬作物无影响。

环已烯酮除草剂品种的主要物理特性


作用机制 环己烯酮类除草剂通过根、茎、叶被植物吸收,经韧皮部迅速向分生组织传导、抑制分生组织活性,造成核酸团聚、细胞分布异常,由于抑制细胞板与细胞壁形成导致形成双核细胞; 在一些细胞中,子核与细胞纵轴改变方向,核不能向极迁移,最终造成细胞坏死。此类除草剂显著抑制乙酰—辅酶A羧化酶(Accase)的活性,此种酶是脂肪酸生物合成中第1个关键反应中的酶,所以,环己烯酮除草剂是通过对脂类代谢的抑制而造成杂草死亡的。
选择性原理 进入分生组织区的药剂数量及其在植物体内代谢作用速度差异,是不同种植物对环己烯酮除草剂敏感性不同的原因。例如,用稀禾定进行茎叶处理后8天,大部分药剂被狗牙根及假高粱吸收,所吸收的药剂中有30%以上从被处理部位传导至植株其他部位,其中约10%传导至根部。但在大豆植株内向根传导的数量很少,药剂进入豌豆根尖分生组织中的数量也比玉米显著少; 实际上,抗药性植物吸收药剂后,在体内迅速代谢,形成极性产物,从而使活性丧失。
在土壤中降解 此类除草剂对光热不稳定,禾草灭被空气中CO2或植物与土壤成分所中和而形成游离化合物—酮型禾草灭,然后转变为甲基二酮环己烷羧酸酯,这种过程是在日光作用下,在土壤及植物中发生的。禾草灭在土壤中转变为两种恶唑衍生物。这些衍生物被土壤微生物迅速降解并释放出CO2。稀禾定在土壤中也迅速降解,其主要降解产物是亚砜化合物。在酸性土壤中,稀禾定迅速降解并形成此种降解产物,而在碱性土壤中降解缓慢。
应用 环己烯酮除草剂品种均作茎叶处理剂,能有效防治禾本科杂草,对所有阔叶杂草及莎草属杂草无效,对双子叶作物高度安全,适用于大豆、花生、油菜、亚麻、甜菜、棉花、烟草及各种蔬菜与果树。Tralkoxydim还能安全地用于小麦与大麦地,彻底防治分蘖末以前的野燕麦及其他禾本科杂草。
此类除草剂的用药量及使用时期以杂草生育期为依据,如在一年生禾本科杂草1~4叶期处理,禾草灭每公顷用量0.70~1.2千克,在1~2个分蘖期处理,用量为1.2~1.5千克; 稀禾定活性显著高于禾草灭,在大豆1~3片复叶期、杂草2~4叶期应用,每公顷用量0.2~0.3千克; 3~4片复叶期、杂草4~7叶期用量为0.3~0.5千克。Tralkoxydim的用量为0.2~0.35千克,烯草酮为0.084~0.14千克,环烯定为0.1~0.2千克。
表面活性剂能显著提高此类除草剂的活性,其中以Atplus-411F与Citowett plus以及硫酸铵、磷酸氢二铵的增效作用最明显。Tralkoxydim用于麦田可与溴苯腈、2甲4氯等混用以兼治阔叶杂草,稀禾定用于大豆田与杂草焚(Blazer)混用,活性稍下降,与苯达松(Bentazon)混用产生颉颃作用。
随便看

 

离鸟网收录3541549条中英文词条,其功能与新华字典、现代汉语词典、牛津高阶英汉词典等各类中英文词典类似,基本涵盖了全部常用中英文字词句的读音、释义及用法,是语言学习和写作的有利工具。

 

Copyright © 2004-2024 vtrois.com All Rights Reserved
更新时间:2026/4/19 20:06:35