网站首页  词典首页


请输入您要查询的字词:

 

字词 环嗪酮
类别 中英文字词句释义及详细解析
释义

环嗪酮hexazinone

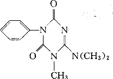
林用内吸传导型三氮苯酮类除草剂,商品名威尔柏(Velpar)。化学结构式:


CA:[51235-04-2]

1974年由美国杜邦(Du Pont)公司首先开发成功。
性能 原药为白色晶体,有效成分为98%,密度1.25,熔点115~117℃,25℃时蒸气压为2.666×10-3帕。其溶解度(克/千克溶剂)在水中为33、氮仿中3380、甲醇中2650、丙酮中792。在pH 5.7~9的水溶液中稳定。对高等动物低毒。原药大鼠急性经口LD50>1690毫克 /千克,急性吸入LC50>7.48毫克/米2。对眼睛有强刺激作用,对皮肤无致敏性。三代繁殖及神经毒性试验未见异常。在推荐剂量下,对试验动物未见致畸、致突变和致癌作用。对水生生物虹鳟鱼、牡蛎、草虾48小时LC50分别为388、320~560、94毫克/升。对鸟类低毒。主要抑制植物光合作用使其致死。根部和叶面均可吸收,由木质部传导。进入土壤后能被微生物分解,对松树根部无伤害作用。杂草受药后7天嫩叶出现枯斑,两周后地上部死亡,一个月后根部腐烂。灌木从形成枯叶至烂根历时约2个月。非目的乔木受药20~30天后第一次脱叶,其后再长出新叶,连续3~5次,根系到第2年腐烂。
应用 造林前整地时,按造林规格(如3300株/公顷)定点,视杂草和灌木多寡,每点用1~3毫升25%威尔柏药液,对水1~2倍后用喷枪点射。东北地区6~7月中旬处理,20~45天后出现无草穴,便于次年造林。幼林抚育时,在幼树四角1米远处,或在行间用喷枪点射1~2毫升原药液,宜在6月中下旬或7月上旬处理。消灭非目的树种时,在树根周围点射,每株胸径10厘米树木,点射8~10毫升原药即可奏效。无草穴形成与土壤湿度及质地有关。常绿针叶树和落叶松对其敏感,应忌用。

环嗪酮hexazinone

又称威尔柏。三氮苯类内吸林业用除草剂。化学名称:3-环己基-6-(二甲基氨基)-1-甲基-1,3,5-三氮苯-2,4-(1H,3H)-二酮。化学结构式如下。纯品为无色、无味结晶体,密度1.25,熔点115~117℃,25℃时蒸气压为266.6×10-5 Pa,微溶于水,易溶于氯仿、甲醇、苯、丙酮、甲苯、二甲基甲酰胺等有机溶剂,在pH5.7~9.0时稳定。在土壤中会被微生物分解。可被植物的根和茎叶吸收,并通过木质部传导,在叶片部抑制植物的光合作用,使代谢紊乱,叶片脱落死亡。常用于造林前除草灭灌防除木本植物,消灭非目的树种,维护森林防火道。

随便看

 

离鸟网收录3541549条中英文词条,其功能与新华字典、现代汉语词典、牛津高阶英汉词典等各类中英文词典类似,基本涵盖了全部常用中英文字词句的读音、释义及用法,是语言学习和写作的有利工具。

 

Copyright © 2004-2024 vtrois.com All Rights Reserved
更新时间:2026/4/21 3:19:15