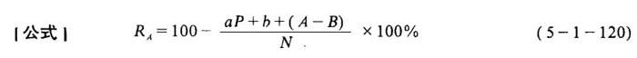
以可滴定碱为基准计算
 式中 RA——碱回收率(%) a——芒硝耗量(kg)(以Na2O计) P——芒硝还原率(%) 6——补充外来碱(kg)(以Na2O计) A——统计开始时系统中可滴定碱贮存量(kg)(以Na2O计) B——统计结束时系统中可滴定碱贮存量(kg)(以Na2O计) N——蒸煮用去的可滴定碱量(kg)(以Na2O计) [讨论]该计算法的优点是快而简便,因为可以快速测出蒸煮用碱、补充用碱等的可滴定碱,只有芒硝不能直测,但用芒硝还原率也可计算,因而使用较广。但该计算法所得的碱回收率不完全准确,因它不是以总碱计算,故又提出以下计算方法。 |