网站首页  词典首页


请输入您要查询的字词:

 

字词 代森锰
类别 中英文字词句释义及详细解析
释义 代森锰

有机硫杀菌剂。

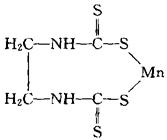
化学名称:乙撑双二硫代氨基甲酸锰。化学结构式如下。原药黄色结晶,微溶于水,不溶于大多数有机溶剂。化学性质比较稳定,遇酸或潮湿则分解。

1950年由美国杜邦公司推广应用。作为广谱性保护杀菌剂。制剂为可湿性粉剂,作叶面喷洒剂。一般用于防治蔬菜晚疫病、炭疽病、霜霉病等。

并兼治植物缺锰症。大鼠口服急性中毒LD50为 7500mg/kg。对人、畜低毒,对植物安全,尤其滨海地区比代森锌安全,但夏季高温时在瓜类作物上要慎用。

随便看

 

离鸟网收录3541549条中英文词条,其功能与新华字典、现代汉语词典、牛津高阶英汉词典等各类中英文词典类似,基本涵盖了全部常用中英文字词句的读音、释义及用法,是语言学习和写作的有利工具。

 

Copyright © 2004-2024 vtrois.com All Rights Reserved
更新时间:2026/4/19 8:41:05