网站首页  词典首页


请输入您要查询的字词:

 

字词 代数分配法
类别 中英文字词句释义及详细解析
释义 代数分配法

辅助生产成本分配的一种方法。

是根据代数中多元一次联立方程的原理,先计算确定辅助生产产品或劳务的单位成本,然后再根据各受益单位耗用的数量和单位成本分配辅助生产成本的一种方法。举例说明:

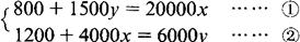
某企业有供水和供电两个辅助生产车间,在分配辅助生产费用前,两车间的费用分别为800元和1200元。供水车间供水20000吨,其中供电车间耗用4000吨;供电车间供应电6000度,其中供水车间耗用1500度。

设:每吨水的成本为x,每度电的成本为y,则:

解得:x=0.0579元 y=0.2386元,

根据以上计算的结果和各受益单位的耗用量,即可在各受益单位之间分配辅助生产成本。

代数分配法的分配结果比较正确,但如果企业的辅助生产车间较多,分配的计算工作较为繁重。

随便看

 

离鸟网收录3541549条中英文词条,其功能与新华字典、现代汉语词典、牛津高阶英汉词典等各类中英文词典类似,基本涵盖了全部常用中英文字词句的读音、释义及用法,是语言学习和写作的有利工具。

 

Copyright © 2004-2024 vtrois.com All Rights Reserved
更新时间:2026/4/20 15:42:01