网站首页  词典首页


请输入您要查询的字词:

 

字词 代入消元法
类别 中英文字词句释义及详细解析
释义 代入消元法

将其中一个方程中的某个未知数用含有另一个未知数的代数式表示出来,并代入另一个方程中,从而消去一个未知数,化二元一次方程组为一元一次方程,这种解方程组的方法,叫做代入消元法,简称代入法.

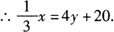
例1 已知1/3x-4y-20=0,用含y的代数式表示x为__.

答 x=12y+60.

[解析] ∵1/3x-4y-20=0,

∴x=12y+60.

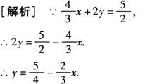
例2 把方程4/3x+2y=4/2变形为用含x的代数式表示y的形式是__.

千万不能写成的形式.

注意:繁分式要化简,最终表示成y=5/4-2/3x或y=-2/3x+5/4的形式.

随便看

 

离鸟网收录3541549条中英文词条,其功能与新华字典、现代汉语词典、牛津高阶英汉词典等各类中英文词典类似,基本涵盖了全部常用中英文字词句的读音、释义及用法,是语言学习和写作的有利工具。

 

Copyright © 2004-2024 vtrois.com All Rights Reserved
更新时间:2026/4/19 1:48:59