网站首页  词典首页


请输入您要查询的字词:

 

字词 玉米素
类别 中英文字词句释义及详细解析
释义

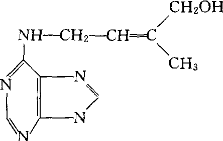
玉米素zeatin

一种天然细胞分裂素。6-(4-羟基-3-甲基-反式-2-烯基)氨基嘌呤。1963年从未成熟的玉米种子中分离出来。化学结构式如下。现已从许多高等植物中找到十几种天然细胞分裂素。具有促进细胞分裂、促进侧芽发育、延缓叶片衰老和蔬菜贮藏保鲜的作用。根部是合成玉米素的重要场所,幼叶、芽、幼果和正在发育的种子中也能形成。

玉米素

一种天然的作用强烈的细胞分裂素。最初从玉米中提取而来,故名。

随便看

 

离鸟网收录3541549条中英文词条,其功能与新华字典、现代汉语词典、牛津高阶英汉词典等各类中英文词典类似,基本涵盖了全部常用中英文字词句的读音、释义及用法,是语言学习和写作的有利工具。

 

Copyright © 2004-2024 vtrois.com All Rights Reserved
更新时间:2026/4/18 21:52:22