网站首页  词典首页


请输入您要查询的字词:

 

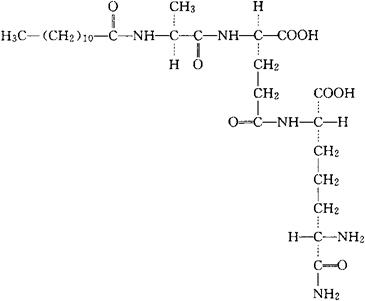
字词 他比劳肽
类别 中英文字词句释义及详细解析
释义 他比劳肽

C27H49N5O8=571.71

CAS-78088-46-7

苏-6-氨基甲酰-N2-[N-(N-月桂酰-L-丙氨酰)-D-γ-谷氨酰]-L-赖氨酸。

threo-6-Carbamoyl-N2-[N-(N-lauroyl-L-alanyl)-Dγ-glutamyl]-L-lysine.

免疫调节药。

Tabilautide.

INN,USAN.

随便看

 

离鸟网收录3541549条中英文词条,其功能与新华字典、现代汉语词典、牛津高阶英汉词典等各类中英文词典类似,基本涵盖了全部常用中英文字词句的读音、释义及用法,是语言学习和写作的有利工具。

 

Copyright © 2004-2024 vtrois.com All Rights Reserved
更新时间:2026/4/19 18:57:24