网站首页  词典首页


请输入您要查询的字词:

 

字词 他尼普隆
类别 中英文字词句释义及详细解析
释义 他尼普隆

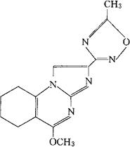
C14H15N5O2=285.31

CAS-10673-01-2

6,7,8,9-四氢-5-甲氧-2-(5-甲基-1,2,4-噁二唑-3-基)咪唑并[1,2-a]喹唑啉。

6,7,8,9-Tetrahydro-5-methyox-2-(5-methyl-1,2,4-oxadiazol-3-yl)imidazo[1,2-a]quinazoline.

抗焦虑药。

Taniplon.

INN,USAN.

随便看

 

离鸟网收录3541549条中英文词条,其功能与新华字典、现代汉语词典、牛津高阶英汉词典等各类中英文词典类似,基本涵盖了全部常用中英文字词句的读音、释义及用法,是语言学习和写作的有利工具。

 

Copyright © 2004-2024 vtrois.com All Rights Reserved
更新时间:2026/4/19 15:48:17