网站首页  词典首页


请输入您要查询的字词:

 

字词 他尔美辛
类别 中英文字词句释义及详细解析
释义 他尔美辛

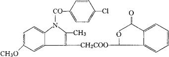
C27H20ClNO6=489.91

CAS-67489-39-8

(±)1-(4-氯苯甲酰基)-5-甲氧-2-甲基-1H-吲哚-3-醋酸盐1,3-二氢-3-氧代-1-异苯并呋喃基酯。

1-(4-Chlorobenzoyl)-5-methoxy-2-methyl-1H-indole-3-acetate 1,3-dihydro-3-oxo-1-isobenzofuranyl ester(±)-.

(+)-1-对-氯苯甲酰-5-甲氧-2-甲基吲哚-3-乙酸的3-基羟苯并呋喃酮酯。

(+)-1-(p-Chlorobenzoyl)-5-methoxy-2-methylindole3-acetic acid,ester with 3-hydroxyphthalide.

消炎镇痛药,解热药。

他美辛。

Talmetacin,BA 7605-06.

INN,USAN.

随便看

 

离鸟网收录3541549条中英文词条,其功能与新华字典、现代汉语词典、牛津高阶英汉词典等各类中英文词典类似,基本涵盖了全部常用中英文字词句的读音、释义及用法,是语言学习和写作的有利工具。

 

Copyright © 2004-2024 vtrois.com All Rights Reserved
更新时间:2026/4/19 1:10:09