网站首页  词典首页


请输入您要查询的字词:

 

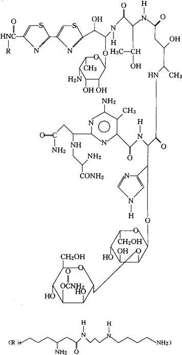
字词 他利霉素
类别 中英文字词句释义及详细解析
释义 他利霉素

C68H110N22O27S2=1731.87

CAS-65057-90-1

N1-[4-氨基-6-[[3-[(4-氨基丁基)氨基]丙基]氨基]-6-氧代己基]-13-[(4-氨基-4,6-二脱氧-1-2-塔罗吡喃基)氧代]-19-去甲基-12-羟基-博菜霉素酰胺。

Bleomycinamide,N′-[4-amino-6-[[3-[(4-aminobutyl)amino]propyl]amino]-6-oxohexyl]-13-[(4-amino-4,6-dideoxy-1-2-talopyranosyl)oxy]-19-demethyl-12-hydroxy-.

N1-[4-氨基-5-[[3-[(4-氨基丁基)氨基]丙基]氨甲酰基]戊基]-13-[(氨基-4,6-二脱氧-1-2-塔罗吡喃基)氧代]-19-去甲基-12-羟-博菜霉素酰胺。

N1-[4-Amino-5-[[3-[(4-aminobutyl)amino]propyl]carbamoyl]pentyl]-13-[(amino-4,6-dideoxy-α-Ltalopyranosyl)oxy]-19-demethyl-12-hydroxybleomycinamide.

抗生素类药。

Talisomycin,BU-2231A,Talisomycin A,Tallsomycin A,Tallsomycin,Antibiotic Bu 2231 A.

INN,USAN.

随便看

 

离鸟网收录3541549条中英文词条,其功能与新华字典、现代汉语词典、牛津高阶英汉词典等各类中英文词典类似,基本涵盖了全部常用中英文字词句的读音、释义及用法,是语言学习和写作的有利工具。

 

Copyright © 2004-2024 vtrois.com All Rights Reserved
更新时间:2026/4/18 12:12:14