网站首页  词典首页


请输入您要查询的字词:

 

字词 从相关求回归
类别 中英文字词句释义及详细解析
释义 从相关求回归

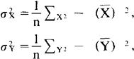
设已知自变量X与因变量Y的相关系数为r,且X数列Y数列的方差分别为,即:

则直线回归方程为:

随便看

 

离鸟网收录3541549条中英文词条,其功能与新华字典、现代汉语词典、牛津高阶英汉词典等各类中英文词典类似,基本涵盖了全部常用中英文字词句的读音、释义及用法,是语言学习和写作的有利工具。

 

Copyright © 2004-2024 vtrois.com All Rights Reserved
更新时间:2026/4/20 6:53:17