焦磷酸jiaolinsuan
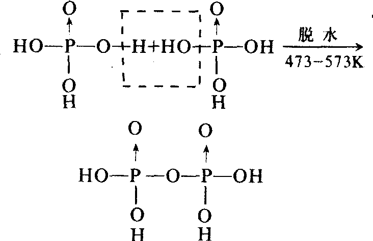
化学式 H4P2O7,式量177.98。纯焦磷酸是无色针状晶体,有吸湿性,熔点为61℃,是磷酸脱水的产物:

焦磷酸易溶于水,在冷水中慢慢地转化为磷酸,在酸性溶液中加热会较迅速地水解成磷酸。它是四元酸,水溶液的酸性比磷酸强,电离常数分别为K
1>1.4×10
-1,K
2=3.2×10
-2,K
3=2.5×10
-7,K
4=5.6×10
-10。这完全符合缩合酸的缩合程度越大,酸性越强的一般规律。它能形成两种类型的盐,即M
14P
2O
7和M
12H
2P
2O
7,都有毒性。焦磷酸根 (P
2O
4-7)有很强的配合性,可以和Mn
2+,Cu
2+,Zn
2+,Pb
2+,Ag
+等形成配离子,如Cu(P
2O
7)
2-,Mn
2(P
2O
7)4
-2等,常被应用于电镀工业。焦磷酸根和银盐作用生成白色沉淀,但不使蛋白质沉淀,这与偏磷酸盐不同,借此可鉴别它们。焦磷酸常用做催化剂、隐蔽剂及用于制备有机磷酸酯等方面。将磷酸氢二钠加热可得焦磷酸钠,将其溶解后加入铅盐,产生焦磷酸铅沉淀,将此沉淀悬浮于水中,通入硫化氢气即得硫化铅沉淀,过滤后将滤液在真空、低温下浓缩,可制得纯焦磷酸;还可用250℃加热正磷酸的方法来制取焦磷酸。