| 释义 |
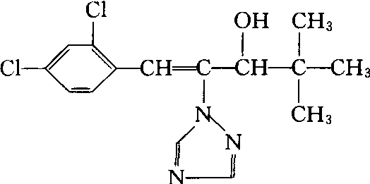
烯唑醇diniconazole又名壮麦灵、速保利。杂环类杀菌剂。化学名称:(E)-1-(2,4-二氯苯基)-4,4-二甲苯-2-(1,2,4-三唑-1-基)-1-戊烯-3-醇。化学结构式如下。原药白色结晶,25℃时水中溶解度4.01%,23℃时丙酮9.5%,甲醇0.5%,二甲苯1.4%,对热、光、潮湿稳定。日本住友公司开发。广谱内吸性杀菌剂,对子囊菌、担子菌、半知菌特别有效。种子处理,叶面喷洒防治谷类白粉病、黑穗病、锈病、条纹病及果树白粉病、黑星病等。药剂内吸和运转性能强,还有气相活性。作用机制是抑制菌体麦角甾醇生物合成中的去甲基化作用,从而影响膜的形成,最终导致真菌死亡。对人畜毒性,大鼠(♂)急性口服LD50639 mg/kg,急性经皮LD50>5 000 mg/kg,对眼有轻微刺激,对皮肤无刺激性。残留量试验:小麦按112 g/hm2剂量使用2次,无残留。葡萄按84g/hm2,使用7次,残留量0.24 mg/kg。 
|