网站首页  词典首页


请输入您要查询的字词:

 

字词 点弹性
类别 中英文字词句释义及详细解析
释义

点弹性Point Elasticity

指需求价格曲线上某一点的弹性,表示在这一点上需求量对价格变化的反应程度,等于需求量无穷小的相对变化量与价格无穷小的相对变化量的比值,即需求点弹性=等于需求曲线斜率的倒数乘以价格与数量之比,用公式表示为Ep它随点在需求价格曲线上的移动而变化,在需求曲线的中点,点弹性等于1,从中点向左上方,点弹性大于1,到达纵轴截点时,点弹性为∞,从中点向右下方,点弹性小于1,到达横轴截点时,点弹性为0。

点弹性Point elasticity

计算弹性系数的一种方法。是指函数在某一点的弹性。它是因变量一个无穷小的相对变化对自变量的一个无穷小的相对变化之比,是对某一点弹性的精确度量。点弹性计算公式如下:

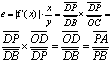
点弹性的几何意义是: 函数在任何一点的切线被该切点分为分别与x轴及与y轴相交的两段。切点到与y轴交点的线段与切点到与x轴相交交点的线段比即为点弹性。如下图所示:
P为AB与函数y=f (x) 相切的切点,则

e=/证明如下:

同时易有:

用一例子来说明。设函数形式为y=ex,求点A (1,e)的点弹性,根据公式有:

点弹性Point Elasticity

需求曲线上某一点的需求量变动对于价格变动的反应程度。当需求曲线上两点之间的变化量趋于无穷小时,需求的价格弹性要用点弹性来表示。需求的价格点弹性公式为:e=-(dx/dp)×(p/x)。其中,p为商品的价格,x为相应的需求量。

点弹性

点弹性Point Elasticity

当一经济变量微小变动时,引起的另一经济变量的相对变动与该经济变量的相对变动的比率。以需求曲线x=f(p)为例,点弹性是测量在需求曲线上任一点A(x,p)处,价格微小变动引起需求量变动的程度,即:

弹性大小一般取决于该点的位置和曲线斜率两个因素。对线性需求函数x=a+bp而言,E=可以证明点弹性在数值上的大小也可用几何线段表示 (如右上图):


〖参〗弧弹性
 常弹性
☚ 斯卢茨基补偿   弧弹性 ☛
点弹性

点弹性point elasticity

弹性的概念由马歇尔(A ·Marshall,1842~1924)引入到经济学中,并给出精确的定义。点弹性是指:在需求或供给曲线上,数量上一个无穷小的相对变动对价格上一个无穷小的相对变动之比。精确的点弹性系数值要求在曲线的一个点上来进行计算。它是对曲线上某一点的弹性的精确量度,点弹性的计算公式是:点弹性e=dq/dp·p/q
在一条曲线上,例如在需求曲线上,对一种商品的需求在一个价格范围内可能是有弹性的,而在另一个价格范围内可能是缺乏弹性的。富有弹性或缺乏弹性可能从一个价格范围到另一个价格范围而有所不同。

☚ 弧弹性   需求的交叉弹性 ☛
00000090
随便看

 

离鸟网收录3541549条中英文词条,其功能与新华字典、现代汉语词典、牛津高阶英汉词典等各类中英文词典类似,基本涵盖了全部常用中英文字词句的读音、释义及用法,是语言学习和写作的有利工具。

 

Copyright © 2004-2024 vtrois.com All Rights Reserved
更新时间:2026/4/19 20:21:32