网站首页  词典首页


请输入您要查询的字词:

 

字词 人口平均增长率
类别 中英文字词句释义及详细解析
释义 人口平均增长率

又称人口平均增长速度。

它反映一定时期内人口平均增长的程度。

人口平均增长率通常用几何平均法计算。

其前提条件是假定该时期内人口是按一定增长率增长的。计算公式是:

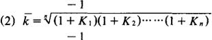
若以指数方程表示,则为:

式中:

为平均增长率;

K1K2……Kn为各时期增长率;

(1+K)为发展速度。

在只知期末人口数和期初人口数时,可用(1)式计算;若已掌握各年度的增长速度或发展速度时,可用(2)式计算。

为简明形象地表明人口平均增长情况,常用人口倍增时间表示,其计算公式是:

式中t为人口倍增年数,K为计算当时的人口增长率或假定计算期内的平均增长率。

由于式中ln2=0.693,约为0.70,所以上式可简化为:。这一算法又称“70”法则。

随便看

 

离鸟网收录3541549条中英文词条,其功能与新华字典、现代汉语词典、牛津高阶英汉词典等各类中英文词典类似,基本涵盖了全部常用中英文字词句的读音、释义及用法,是语言学习和写作的有利工具。

 

Copyright © 2004-2024 vtrois.com All Rights Reserved
更新时间:2026/4/19 11:01:54