人口倍增时间
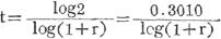
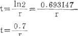
亦称“人口增长加倍时间”。 指按照某种人口增长速度,人口总数增长一倍所需要的时间。人口增长速度愈快,人口倍增的时间愈短,反之,人口倍增的时间愈长。 在年平均人口增长速度为已知的条件下,求人口倍增所需时间的,计算公式为: 估计期人口总数=现有人口总数×(1+年平均人口增长速度)年数 pt=p1×(1+r)t 人口加倍,就是意味著: pt=2·p1 即: (1+r)t=2 取对数: tlog(1+r)=log2  假如平均每年人口增长速度为20‰,人口倍增的时间则为:  人口倍增所需时间的简便计算方法:估算期人口为pt应为现有人口总数的2倍,即pt=2p1。代入下式: pt=p1ert 2p1=p1ert 2=ert 两边取自然对数, ln2=lnert=rt  上式只要有人口的平均每年增长率,即可得到答案。如前例平均每年人口增长率为0.2%,则: 
|