网站首页  词典首页


请输入您要查询的字词:

 

字词 激动素
类别 中英文字词句释义及详细解析
释义

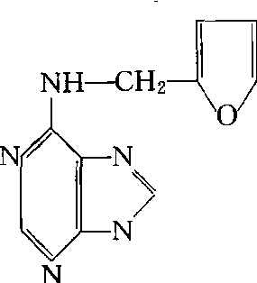
激动素kinetin,KT

一种具细胞分裂素活性的DNA降解产物。为非天然的细胞分裂素。1955年米勒(C. D. Miller)等从高压灭菌后的DNA中分离、结晶出一种能促进细胞分裂的物质,并定名为激动素。迄今未发现植物体内有激动素的存在。化学名称:6-糠氨基嘌呤或6-糠基腺嘌呤。结构式如右。分子量215.2。易溶于稀盐酸、稀氢氧化钠,微溶于冷水、乙醇、甲醇。主要作用是促进细胞分裂,并有延缓衰老及保绿作用。常用于植物组织培养。

随便看

 

离鸟网收录3541549条中英文词条,其功能与新华字典、现代汉语词典、牛津高阶英汉词典等各类中英文词典类似,基本涵盖了全部常用中英文字词句的读音、释义及用法,是语言学习和写作的有利工具。

 

Copyright © 2004-2024 vtrois.com All Rights Reserved
更新时间:2026/4/20 13:12:43