网站首页  词典首页


请输入您要查询的字词:

 

字词 人力发展指数
类别 中英文字词句释义及详细解析
释义 人力发展指数

联合国开发计划署(United Nations Development Programme,UNDP)编制的用作比较世界各国发展水平和生活质量的一项统计指标。

HDI在该机构每年发表的《人力发展报告》中公布。1990年首次发布。

UNDP认为,经济发展的最终目的是人的发展。

人的发展是指人们具有某些基本能力的进展和扩大人们选择的过程。

当前对人的发展应当以人生的三大要素为重点,即❶ 过著健康长寿的生活;
❷ 有受教育的机会;
❸ 有过得像样生活所需的资源。衡量人的发展的指标不能只用人均国内生产总值(GDP),应当选择包括上列三方面的指标进行综合。

UNDP编制人力发展指数,首先选定反映上列三大要素的指标及其最小值和最大值,分别计算展示这三方面状况的指数,最后将三个指数合成综合指数-人力发展指数。

选定的三大要素的指标是:
❶ 出生时预期寿命,其最小值和最大值定为25岁和85岁。

❷ 成人识字率,其最小值和最大值定为0%和100%。

因为识字率指标不能反映教育质量,1991年增加了受教育平均年限指标;后来由于该项指标的计算太复杂而且缺乏可靠数据,1995年又将受教育平均年限改为综合入学率,其最小值和最大值定为0%和100%;并规定成人识字率和综合入学率按前者2/3和后者1/3的权数组成教育指数。
❸ 按购买力平价计算的实际人均GDP。UNDP确定了一个实际人均收入标准,其数值每年随情况而改变。

1990年用的是9个工业化国家按购买力平价计算的平均官方“贫困线”收入数额,1994年起改用按购买力平价计算的实际人均GDP的全球平均值。应该著重指出的是,UNDP认为,人们为了达到像样的生活需要足以达到合理生活水平的收入,但是人均GDP达到一定水平后,对人们带来的幸福、效益会逐渐递减,并不是人均收入越高就一定越幸福,因此需要按照公式将各国实际人均GDP加以调整。

1994年经过调整的各国人均GDP的最低到最高值定为370国际美元到5371国际美元;1995年定为330国际美元到5448国际美元。

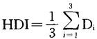
编制HDI的次一步骤是,按照下列公式给每个国家(地区)分别计算三个要素(x1,x2,x3)的要素发展指数(Di)。

式中i=1,2,3。

然后将该国的三个要素发展指数相加进行算术平均,即得该国的人力发展指数。

最后将各国人力发展指数按数值大小排榜。

UNDP首次发布的人力发展指数排榜涵盖130个国家(地区),以后逐年扩大范围,1995年增至174个。从排行榜可以看出,高收入国家在榜上就不一定排在前面。例如美国,1995年人均GDP在世界名列第一,但人力发展指数位次排名第二。

又如加拿大,人均GDP排在世界第8位,在人力发展指数排行榜上却名列第一。

随便看

 

离鸟网收录3541549条中英文词条,其功能与新华字典、现代汉语词典、牛津高阶英汉词典等各类中英文词典类似,基本涵盖了全部常用中英文字词句的读音、释义及用法,是语言学习和写作的有利工具。

 

Copyright © 2004-2024 vtrois.com All Rights Reserved
更新时间:2026/4/18 5:38:19