网站首页  词典首页


请输入您要查询的字词:

 

字词 产品移动方式
类别 中英文字词句释义及详细解析
释义 产品移动方式

合理地组织生产过程不仅要求企业各个组成部分在空间上合理布局、密切配合,而且要求物流在时间上紧密衔接,以便提高生产效率缩短生产周期。

加工对象在生产过程中的移动方式是决定产品生产周期的重要因素。产品(零、部件)在工序间的移动有三种方式。

(1)顺序移动方式。

顺序移动方式就是一批产品(零、部件)在上道工序全部加工完毕后,整批转送到下道工序加工。假设某零件的批量n=4件,有4道工序,各工序单件加工时间为t1=10分,t2=5分,t3=12分,t4=7分,该批零件的顺序移动方式如图4-4-3所示。

如果把工序间运输时间忽略不计,工序间无停放等待时间,则该批零件的生产周期等于该批零件在全部工序上加工时间的总和。

计算公式如下:

从图4-4-4可知平行移动方式的生产周期为:

Tp=x+y+z=t1+t2+t3+3t3+t4

不失一般性,则平行移动方式的加工周期可以用下列公式表示:

平行顺序移动方式加工周期的计算,可以用顺序移动方式的加工周期减去重复交叉时间求得。

从图4-4-3可看出,重复交叉时间为x、y、z。

所以:

而 x+y+z=3t2+3t2+3t4=3(t2+t2+t4)

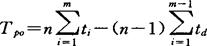
这样可以把上式写成下列一般表达式:

式中:Tpo——平行顺序移动方式的加工周期

td=min{ti,ti+1}i=1,2…,m-1

上例若采用平行顺序移动方式,则该批零件加工周期为

Tpo=4×(10+5+12+7)-(4-1)(5+5+7)=85(分钟)

采用这种移动方式,吸取了前两种方式的优点,既缩短了零件加工周期,又保证了各工序能连续加工,但生产组织计划工作较复杂。

三种移动方式各有优缺点。企业在选择移动方式时应结合企业的生产条件,考虑生产单位的专业化形式、产品(零、部件)的批量大小、零件重量、零件加工的工序时间长短等因素,综合分析,选取适宜的方式。

随便看

 

离鸟网收录3541549条中英文词条,其功能与新华字典、现代汉语词典、牛津高阶英汉词典等各类中英文词典类似,基本涵盖了全部常用中英文字词句的读音、释义及用法,是语言学习和写作的有利工具。

 

Copyright © 2004-2024 vtrois.com All Rights Reserved
更新时间:2026/4/21 19:34:07